分光测色仪在测量颜色时是在CIELab颜色空间进行,在该颜色空间下进行测色,分光测色仪可以将颜色的明度、色度等用具体的字母符号表示出来,以此对颜色进行量化描述。本文对分光测色仪CIELab颜色空间测量核心参数含义解析做了介绍,大家不妨了解一下!

CIELab颜色空间是CIE推荐的用于颜色测量的均匀颜色空间,其优点是当颜色的色差大于视觉的识别阈限(恰可察觉)而又小于孟塞尔系统中的相邻两级色差值时,能较好地反映物体色的心理感受效果。它是国际上广泛使用的测色空间,是由明度(L)和两个色度分量a、b共三个分量构成:
L表示颜色的明度,也常被称作亮度,取值范围在[0,100],表示从纯黑到纯白。
a表示从绿色到红色,-a最小表示绿色,+a最大表示红色,取值范围在[-128,127],-a到+a是绿色到红色颜色渐变的过程。
b表示从蓝色到黄色的范围,同样原理,-b到+b是由蓝色逐渐过渡到黄色的过程,取值范围在[-128,127]。
CIELab颜色空间是颜色量化最均匀的颜色分布,在样品色差评比系统中,很多公式都是依赖该颜色空间的,它是颜色差异的规范化空间,能够解决颜色量化的等距度量,其均匀性较好。该颜色空间两点之间的几何距离,与人眼观察物体的色差大小相同。
CIELAB色差公式是一种建立在孟塞尔颜色系统之上的计算公式,在该颜色空间中,只有黄、蓝、红、绿四种基本色,每一个点都可以用其黄、蓝或红、绿的程度来表示。
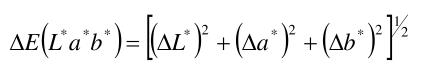
在这个三维的颜色空间中,L*轴用来表示颜色的明亮程度,称为明度,其取值在0~100,数值越高则明度越高;a*轴用来表示颜色的红绿特征,如果其数值是正值,则表示颜色是偏红的,反之则意味着颜色偏向于绿色;b*轴用来表示颜色的黄蓝特性,如果其数值是正值,意味着颜色偏向于黄色,反之则意味着颜色偏向于蓝色。CIELAB色空间色差的定义就是两个颜色在 CIELAB均色空间的欧式距离,具体色差公式为:

式中,△L*、△a*、△b*分别为样品与标准样在L*、a*、b*上的差值。
1.△E*ab值解析
△E*ab值是CIELab颜色空间中表示两个颜色总体差异的数值,它综合考虑了△L、△a和△b的变化。这个色差值△E*ab的数值大小直观地反映了两个颜色之间的总体差异程度,数值越小,表示两个颜色越接近;数值越大,则表示颜色差异越大。
2.△L*值解析
△L表示两个颜色在明度上的差异,即明亮程度的不同。△L=L2-L1,L2是样品色的明度值,L1是标准色的明度值。当△L为正值时,说明样品色比标准色更亮;当△L为负值时,则表示样品色比标准色更暗。ΔL用来判断样品与标样在明暗、深浅、白黑上的差异,是颜色外观最直观的指标之一。通过ΔL可以快速确定样品是偏亮、偏浅,还是偏暗、偏深,用于控制产品亮度一致性,解决发白、发灰、发黑等问题。
3.△a*值解析
△a表示两个颜色在红绿色度方面的差异。△a=a2-a1,a2是样品色的红绿色度值,a1是标准色的红绿色度值。△a为正值时,表明样品色比标准色更偏红;△a为负值时,意味着样品色比标准色更偏绿。Δa专门用于判断颜色在红绿方向的色偏,是区分偏红还是偏绿的核心参数。在红色、粉色、绿色系产品中尤为重要,可精准识别偏红、偏绿的程度,指导调色时加红或加绿修正。
4.△b*值解析
△b表示两个颜色在黄蓝色度上的差别。△b=b2-b1,b2是样品色的黄蓝色度值,b1是标准色的黄蓝色度值。当△b为正值时,说明样品色比标准色更偏黄;当△b为负值时,则表示样品色比标准色更偏蓝。Δb用于判断颜色在黄蓝方向的偏差,主要识别样品是偏黄、偏橙,还是偏蓝、偏青。常用于白色、灰色、浅色产品,判断是否发黄、发灰、发蓝,是控制白度和色调的关键指标。