色差仪是一种通过计算颜色差值来识别和比较颜色的光学设备,它利用仪器内部的标准光源照明被测物体,进而测得物体色的三刺激值和色品坐标,并通过专用微机系统计算出两个物休色的色差值。本文对色差仪色差值的测量原理及色差值的计算公式做了简要的介绍,感兴趣的朋友可以了解一下!

色差仪是一种通过计算颜色差值来识别和比较颜色的光学设备,其工作机制实际上是对人眼识别颜色过程的部分模拟。在人眼视觉系统中,颜色判断是依据进入眼睛可见光的进行的,这种光线来自物体表面辐射、反射或者物体内部的透射,类似的在一个测色系统中,实际需要分析检测的就是进入仪器检测窗口的可见光。与人类视觉系统使用生物组织视网膜来识别光谱类似;在机器中这种颜色识别功能通常通过感光器件来完成的。人类比对颜色是在大脑中完成的,是对不同颜色信号的比较;色差仪则是在获得样本颜色数值后与记忆体中的颜色数值进行比较。
对色差仪而言,要获得待测可见光的首要条件是必须有能够反映待测样本颜色特征的光线。在颜色恒常性的部分阐述我们知道,特定环境中观察物体颜色时,依赖于当前光照条件的颜色谱系分布是确定的,但是一旦改变光照背景,机器传感器获得的颜色感应值发生变化,那么颜色的判断就不是恒常的了,这也就是机器视觉不具备颜色恒常性的原因。要解决这个问题,需要在一个和测量环境无关的颜色谱系空间中获取样本的反射光线,所以测色仪器中都会使用统一的内置光源来刺激物体表面,这样就相当于将所有待测物体都置于一个跟机器相关的系统光照条件下,而这系统光照条件下的颜色谱系分布也是确定的了。
在色差仪内有一个光源,每次测量时,光源使用单色白光多次照射样本,或者使用单色LED分组多次照射样本,在照射的同时使用CMOS(Complementary Metal Oxide Semiconductor)感光阵列获得反射可见光的信息,然后经过后期的去噪、平均后获得样本颜色的系统颜色空间坐标值。需要补充的是在色差仪能够测色之前需要将标准颜色库信息装载到色差仪当中,并且使用纯黑或纯白色的系统颜色空间参考点同标准颜色库的标准颜色空间进行比对计算,从而求出两个颜色空间的映射关系,当标准照明体选定时,其是一个常数。
在颜色空间映射参数确定的条件下,一旦测得的系统样本颜色值被计算出来后,就可以在与映射参数计算从而得出和具体机器、硬件系统、光照条件无关的L*a*b*值。所以当系统要测量未知颜色时,这个样本L*a*b*空间坐标值就可以用来寻找最接近的标准颜色;反之,如果查看样本颜色是否符合落在期望颜色偏差的阈值内,则将样本的L*a*b*值与期望颜色的L*a*b*值作为选定色差公式的输入来计算色差距离△E,从而进行色差判断。

色差公式的研究已有近百年的历史,长期以来,各国颜色科学研究人员为了提出与人眼视觉感官和心理感受相一致的色差公式,做出了大量尝试和努力,到目前为止已有数十个色差公式被提出,并且应用于不同领域的各个方面,其中颜色质量控制是色差公式使用最频繁的领域。为了减少色差公式的使用乱象,1976年国际照明委员会正式推荐CIELUV和CIELAB两个均匀颜色空间,此后基于这两个颜色空间的色差公式得到了广泛应用,尤其是CIELAB色差公式及其衍生品。每当CIELAB色差公式在新的工业领域表现不尽如人意的时候,颜色科学家就会对该公式进行修正,形成新的色差公式,以解决新的问题。
目前色差仪中常用的色差计算公式有CIELAB、CMC(l:c)、CIE1964、CIE94、CIE1976LUV、JPC79等多种,目前使用最广泛的是CIELAB、CMC(1:c)和CIE94三种色差公式。
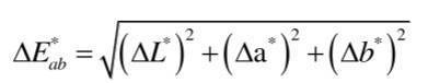
1.CIELAB色差计算公式
CIELAB色差公式是最简单的色差公式,也是1976年CIE推荐的工业应用色差公式之一。使用两个颜色刺激色样在空间中的欧式距离来表示两者之间的色差。假设在CIELAB颜色空间中有两个颜色(L*1,a*1,b*1)和(L*2,a*2,b*2),通过下列色差公式便可计算出两者之间的色差。

式中,△L*、△a*和△b*分别表示两个颜色样本的坐标L*、a*和b*之差。
如果CIELAB空间是理想的均匀颜色空间,则其对应的视觉容差应为球形。
根据颜色科学研究人员的实验研究,发现在CIELAB空间使用椭球来描述颜色的视觉容差更为合适,这表明CIELAB颜色空并非理想的均匀颜色空间。虽然CIELAB色差公式对中小色差的预测精度较差,但由于其结构简单,易于理解并具有较好的大色差预测精度,所以仍被广泛应用。
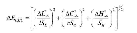
2.CMC色差计算公式
CMC是英国颜色测量委员会Colour Measurement Committee的缩写,1988年CMC色差公式被英国推荐为英国国家标准(BS 6823),广泛应用于纺织行业及其他工业。在修正CIELAB色差公式的基础上,CMC色差公式根据视觉关系调整了每个色调方向的色差椭圆大小和形状;改善了彩度差变化与明度之间的关系,使不同彩度的颜色具有不同的色差容限。非彩色区域附近的椭圆较小,彩度高的椭圆较大,色差容限与彩度的变化成正比。CMC色差公式为如下形式:

其中,△L*ab、△H*ab和△C*ab,为CIELAB确定的明度差、彩度差和色调差;SL、SC和SH分别为明度、彩度和色调的权重函数;L*s和C*ab,s和hab,s均为确定色差的标准样本。明度权重因子和彩度权重因子c与具体应用条件有关,一般情况下c=1。在纺织业中,当l=2时用CMC色差公式计算得到的纺织品色差与视觉感觉相对一致。对于涂料、塑料和油墨等应用,取l=1.4。
CMC色差公式实际上是一个三维空间中的椭球公式,也就是说,用以目标色样的坐标点为中心的一个椭球来表示色差,椭球的大小与样品颜色同目标色的差别有关,也与具体的颜色区域有关,在不同的颜色区域用不同大小和取向的椭球来表示色差。这种计算色差的方式已经被CE确定为今后发展色差公式的一种标准形式,主要的研究重点是如何确定公式中的系数,CIE94色差公式就是这类公式的代表。
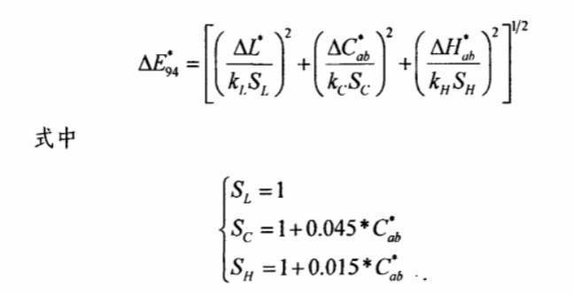
色差公式CIE94由RIT的R.S.Berns等人在对RIT-DuPont、Luo-Rigg和Witt 这三个基于物体色的中小色差视觉实验数据集进行相关分析和处理的基础上所提出,并由CIE技术委员会TC1-29于1995年推荐为用于工业色差评价,其表达式为:

其中,△L*、△C*ab和△H*ab,均由CIELAB色差公式计算得到;△C*ab一般指标准色样的CIELAB彩度,但当被测样品中不分标准色样与测试色样时,则以两者的几何平均值作为C*ab,即:△C*ab=(C*ab,1△C*ab,2)1/2。
在使用CIE94色差公式时,CIE推荐了相应的参考观察条件。当实际的观测条件和应用场合不同于CIE94参考观察条件时,需要用参数因子kL、kC和kH来调整明度、彩度和色调分色差在总色差中的相对权重。
TC1-29指出,当获取新的实验数据时应对CIE94继续改进。可以在不同于参考观察条件的实验条件下进行视觉实验,利用相关实验结果对权重函数SL、SC和SH以及参数因子kL、kC和kH进行修改,从而对CIE94进行改良。随着更多实验数据的获得,还可以对色差公式CIE94及其权重函数的表达式结构进行修改。
YS6060是3nh公司独立开发的完全拥有自主知识产权的国产台式光栅分光测色仪, TFT真彩7inch电容触摸屏、全光源、照明方式:反射D/8、透射D/0(包含UV/排除UV测量) 测量颜色准确稳定、存储...
MORE+
3nh光栅分光仪,颜色测量伴侣 YS3010、YS3020、YS3060是三恩时公司独立开发的完全拥有自主知识产权的国产光栅分光测色仪,仪器稳定、测量颜色准确、功能强大,在便携式光栅分光测色仪...
MORE+
光栅分光测色仪YS4580简介 YS4580高精度分光测色仪采用符合CIE No.15的45/0(45度环形照明,0度接收)几何光学结构,采用凹面光栅分光方式,可准确测量样品反射率及各种色度数据。仪器...
MORE+
光栅分光密度仪YD5050简介 YD5050是3nh公司独立开发的完全拥有自主知识产权的45/0几何光学结构的国产光栅分光密度仪,完全符合标准ISO 5-4,支持ISO 13655标准规定的MOM1,M2M3测试条件,可...
MORE+