为了对颜色进行定量的测定,CIE提出了多种用于颜色度量的标准色度系统,其中使用比较普遍的就是CIEXYZ标准色度系统。另外,为了统一颜色评定的标准,色度学提出了多种基于CIE标准色度系统的颜色空间。本文对CIEXYZ标准色度系统及CIE均匀颜色空间做了简单的介绍。

1.CIEXYZ1931标准色度系统
1931CIE-RGB系统匹配一种颜色可能出现负系数,给大量的计算带来了不便。为此,CIE于1931年推荐了一种新的色度学系统-1931CIE-XYZ系统。此系统在1931CIE-RGB 系统的基础上,用线性变换方法,选用一理想的三原色 XYZ代替 RGB三原色,从而将CIE-RGB系统中的光谱三刺激值r(λ)、g(λ)、b(λ)变为正值x(λ)、y(λ)、z(λ),色品坐标r(λ)、g(λ)、b(λ)均变为正值x(λ)、y(λ)、z(λ)。规定1931CIE-XYZ 系统的y(λ)与人眼的明视觉光谱光视效率V(λ)一致,即y(λ)=V(λ)。系统规定X、Z两原色只代表色度,没有亮度,亮度只与三刺激值Y成比例。三刺激值Y成为被测目标的归一化亮度函数。1931CIE-XYZ系统三刺激值曲线如下图所示,y(λ)可以代表颜色的亮度特性。

CIExy色品坐标图如下图所示。

1931CIE-XYZ标准色度观察者光谱三刺激值适用于2°视场的观察条件,也可用于1°-4°视场的颜色测量。它规定了标准色度观察者、标准照明光源以及标准照明和观察条件。
2.CIEXYZ1964补充标准色度系统
当视场大于4°时,由于视网膜上杆体细胞的影响,人眼对颜色的感觉会发生一定的变化。CIE于1964年推荐了CIE1964补充标准色度系统,推荐了一组“CIE1964补充标准色度观察者光谱三刺激值”和相应的色品图,适用于4-10°视场的颜色测量。
1.CIE1964均匀颜色空间
CIEXYZ色度系统用数量描述颜色,但是它是不均匀的颜色空间。实验证明三刺激值差△X,△Y,△Z相同的两组颜色,引起人的色知觉差异是不同的。工业应用中经常需要用数量来描述颜色的差别,但是在CIE1931色度图上各区域上相等的距离代表不同的感觉色差。因此须研究均匀颜色空间和颜色差异计算问题。为得到一个均匀空间,1960年国际照明委员会制定了一个均匀色度椭圆标尺图,称为CIE1960UCS色度图。此图将CIE1931色度图作了线形变换,相当地改善了xy色度图的不均匀性,但均匀色度图并未涉及有关色的明度的均匀性,色度坐标的均匀性增加了,但明度的均匀性却未变化。
1964年CIE将均匀明度标尺和均匀色品标尺组合起来,推荐了CIE均匀颜色空间,用明度指数W*,色品指数U*、V*三维坐标系统表示。
2.CIE1976 均匀颜色空间
为了更客观更准确地测量和评价颜色的差别,CIE在整理和总结了当时出现的诸多颜色空间的基础上,于1976年正式推荐了两个改进的均匀颜色空间,即CIE1976L*u*v*颜色空间和CIE1976L*a*b*颜色空间。
(1)CIE1976L*u*v*颜色空间
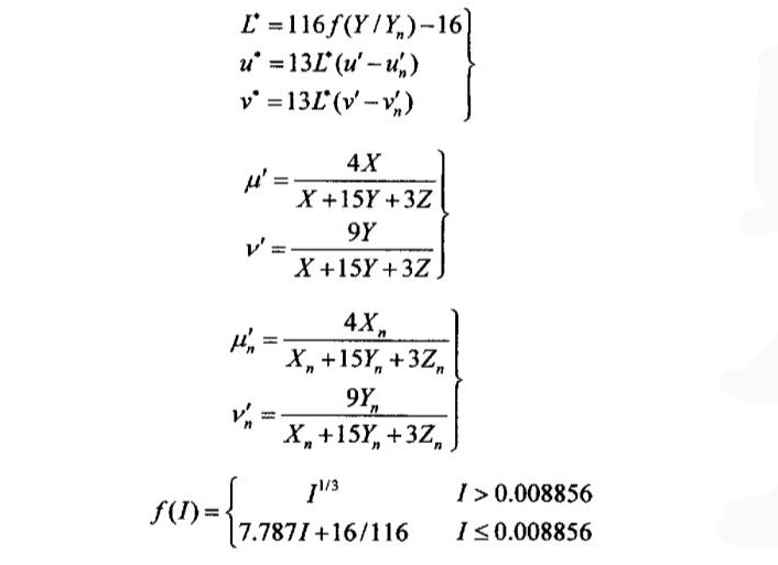
CIE1976L*u*v*颜色空间采用如下的L*、u*、v*作为三维直角坐标,也称为CIELUV颜色空间,主要用于如电视工业等加混色的表示和评价。在该空间中,L*为明度,u*、v*表示颜色的色品坐标,其计算公式为:

其中,X、Y、Z为色样的三刺激值,Xn、Yn、Z为CIE标准照明体的三刺激值(常数),u'、v'分别为线性变换后色样的色品坐标(上图1所示),un'、vn'分别为线性变换后 CIE 标准照明体的色品坐标(如上图2所示)。
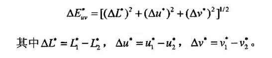
在CIELUV颜色空间中,两个颜色(L1*,u1*,v1*)和(L2*,u2*,v2*)之间的色差ΔE*uv为:

(2)CIE1976 L*a*b*颜色空间
CIE在1976年推荐用于加混色的CIELUV颜色空间的同时,还推荐了主要用于如表面色料工业等减混色的表示和评价的CIE1976L*a*b*颜色空间,也成为CIELAB颜色空间。作为该空间三维直角坐标的明度L*和色品坐标a*、b*的计算公式为:

式中,f(I)为上式所示的深色通用公式,X、Y、Z为颜色样品的三刺激值,Xn、Yn、Zn为CIE标准照明体照射在完全漫反射体上,然后反射到观察者眼中的三刺激值,其实Yn=100.
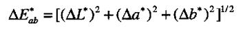
在CIELAB颜色空间中,两个颜色(L1*,a1*,b1*)和(L2*,a2*,b2*)之间的色差△Eab*为:

式中ΔL=L1*-L2*,Δa =a1*-a2*,Δb=b1*-b2*。
YS6060是3nh公司独立开发的完全拥有自主知识产权的国产台式光栅分光测色仪, TFT真彩7inch电容触摸屏、全光源、照明方式:反射D/8、透射D/0(包含UV/排除UV测量) 测量颜色准确稳定、存储...
MORE+
3nh光栅分光仪,颜色测量伴侣 YS3010、YS3020、YS3060是三恩时公司独立开发的完全拥有自主知识产权的国产光栅分光测色仪,仪器稳定、测量颜色准确、功能强大,在便携式光栅分光测色仪...
MORE+
光栅分光测色仪YS4580简介 YS4580高精度分光测色仪采用符合CIE No.15的45/0(45度环形照明,0度接收)几何光学结构,采用凹面光栅分光方式,可准确测量样品反射率及各种色度数据。仪器...
MORE+
光栅分光密度仪YD5050简介 YD5050是3nh公司独立开发的完全拥有自主知识产权的45/0几何光学结构的国产光栅分光密度仪,完全符合标准ISO 5-4,支持ISO 13655标准规定的MOM1,M2M3测试条件,可...
MORE+