在所有的颜色复制工业中,颜色的差异总是存在的,这种差异叫做色差。从数学角度看,色差大小即为三维空间的两个坐标点之间的距离大小。但是研究发现,在颜色空间不同区域中,间距相同,颜色感知差异却不同。为了使得两个颜色之间的差异与人眼产生的视觉感知色差更加一致,研究者们不断地寻找均匀颜色空间,通过原来的X、Y、Z三刺激值进行坐标变换得出新的更加均匀的颜色空间。目前,CIE1976L*a*b*和CIE1976L*U*V*是最常用的颜色空间。本文对色差仪CIELab和CIELuv颜色空间及色差公式做了介绍。

1.CIEL*a*b*颜色空间
CIEL*a*b*颜色空间是为感觉均匀而设计的一个国际标准,其目的是使人感受的颜色差别等同对应CIEL*a*b*颜色空间中相等的欧几里得距离,及所有颜色都按照其试验测得的相互之间知觉色差的多少,尽可能均匀地分布于颜色空间,这是目前最均匀的颜色空间。
CIE早期推荐的颜色空间主要有麦克斯韦三角形、RGB坐标、XYZ坐标等。因为提出它们的最初目的只是为了充分而方便地表达出自然界的色彩,没有考虑人眼的颜色分辨特性,所以独立性和均匀性都较差。如果颜色模型能提供空间位置与视觉系统间良好的对应关系,就会给颜色研究工作带来很多方便。
CIE于1976年提出的CIELab色度系统就是这样一个颜色空间,其中L*、a*、b*坐标分别表示明度、红和黄,空间中的位置指明其对应的颜色。在该系统中,明度L表示颜色明亮的程度;a*表示红色在颜色中占有的成分,-a*表示红色的补色在颜色中占有的成分;b*代表颜色中黄色的成分,-b*表示黄色的补色在颜色中占有的成分。CIELab颜色空间是基于对立色理论和参考白点而建立,与设备无关,适用于接近自然光照的应用场合。
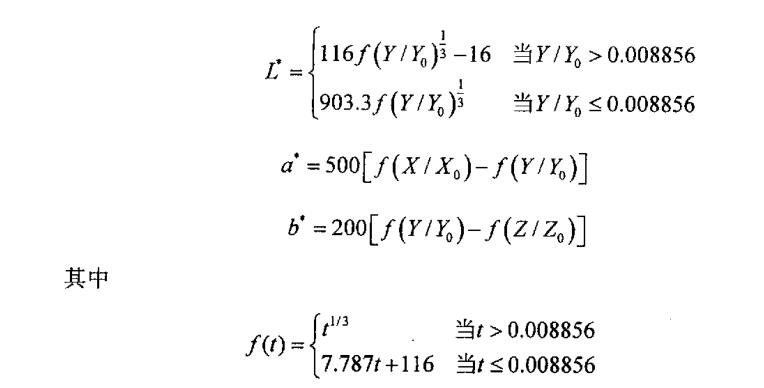
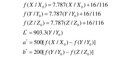
三个刺激量X,Y,Z到 CIEL*a*b*颜色空间的转换公式如下:

各式中的下标0表示对应的参考白点。CIEL*a*b*中比较强调对绿色的表示(对绿色比较敏感),其次是红色和蓝色。
2.CIEL*u*v*颜色空间
CIE同时定义了CIEL*u*v*颜色空间,与 CIEL*a*b*中类似,u*、v*也表示由色调和彩度形成的色感知属性。CIEL*u*v*和CIEL*a*b*有一些共同的特点。首先,它们的颜色空间虽然距完全均匀仍有距离,但基本上是均匀的。其次,由于是基于颜色测量的CIE系统,CIEL*u*v*和CIEL*a*b*都是与设备无关的颜色空间。
CIEL*u*v*颜色空间同样是基于对立色理论和参考白点而建立,与设备无关,适用于显示器显示和根据加色原理进行组合的应用场合。
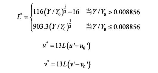
三个刺激量X,Y,Z到CIELuv颜色空间的转换公式如下:

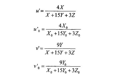
变量u',v'和u'0,v'0可以从下式得出:

X0、Y0、Z0为标准白光所对应的XYZ值。CIELuv颜色空间比较强调对红色的表示,即对红色变化比较敏感,但对蓝色表示得比较粗糙。
CIBL*u*v*和CIEL*a*b*颜色空间是为了解决颜色的等距度量而建立的,具有均匀明度标尺和均匀色品标尺,其独立性和均匀性显然优于XYZ空间。但是,由于均匀色品标尺没有把色调和饱和度分离开,所以只有一个亮度分量能用于处理,而不能利用彩色图像的色彩信息,这会把彩色图像处理限制在灰度图像处理的范围,极大地束缚了彩色图像处理的手脚,也不是应选的最佳颜色空间。相对来讲,目前推荐的最好用的量化分析颜色的均匀空间。除了继承XYZ颜色空间的优点外,还有两个新的优点:①是颜色差异的规范化空间;②CIEL*u*v*和CIEL*a*b*颜色可以由圆柱坐标表示,因此可以适应不同的需要。由于具有这些优点使这种颜色空间在对颜色有严格要求的应用场合更加实用。
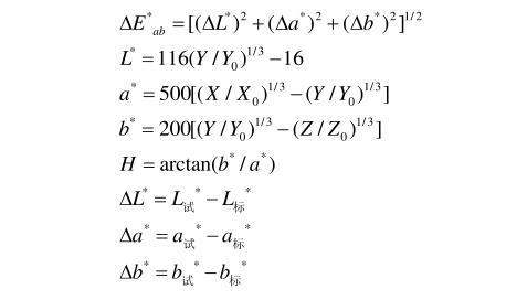
在以Munsell视觉颜色系统为基础的色差公式中,最具重要性的是Adams-Nickerson色差公式(即ANLAB),这一公式得到了广泛的应用。CIE对ANLAB公式进行了修改和简化,推导出CIE1976L*a*b*色差公式及其对应的均匀色度空间,为简便起见,CIEL*a*b*改写成CIELAB公式。
式中,△E*ab为总色差;△L*为明度差;△a*,△b*为彩度差;H为色调角;X,Y,Z为色样的三刺激值;X0,Y0,Z0为CIE标准照明体的三刺激值,为常数值。

X/X0,Y/Y0,Z/Z0,要求大于0.008856,对于不符合这一要求的极深的颜色,使用上述公式会引起色空间的畸变,导致很大的误差。为解决这一问题Pauli提出了一个解决办法,并被CIE所采纳,CIELAB深色修正公式如下所示:

其它的计算相同,在实际应用中,碰到上述极深的颜色情况极少,因此上述修正公式只有在特殊的场合下有用。
CIEL*a*b*均匀色度空间是一个三维体系,a*和b*轴组成的平面表示颜色的彩度,L*表示颜色的明度。但CIEL*a*b*均匀色度空间只是一个近似均匀的色空间,处于不同色区的两对样品,若测出的色差值相等,并不意味着视觉观察这两对样品时也是有相同等级的色差感觉,尽管CIEL*a*b*色度空间的目视均匀性还不能令人十分满意,但仍不失为目前最好的色空间之一。
CIEL*a*b*色差公式在工业界有着广泛的应用,特别是在染料颜料制造、涂料、纺织印染、油墨、塑料着色等行业的产品颜色质量控制中有着重要的地位。
这一色差方程的最大方便和实用之处在于可将一对样品的总色差分解成明度差、饱和度差和色调差。这一点在实际应用中很重要。例如对于印染制造行业来说,同样数值的总色差如果由色调差和饱和度差所引起,可能产品就不合格,但若是主要由明度差所造成,则稍许调整一下强度就可出厂。
2.CIE1976L*u*v*色差公式
CE1976L*u*v*色差公式是由CEx-y色度图进行线性变换推导而得。线性变换的目的是改善与目测结果对比的均匀性。CIE1976L*u*v*色差公式为:

式中,X,Y,Z为色样的三刺激值;X0,Y0,Z0为CIE标准照明体的三刺激值,为常数值;X/X0,Y/Y0,Z/Z0,要求大于0.008856,对于不符合这一要求的极深的颜色,使用颜色修正公式。
u',v'分别为线性变换后的色样色度坐标,u'0,v'0分别为线性变换后的CE标准照明体的色度坐标;L*为明度;u',v'为彩度;△E*为总色差。
CEL*u*v*色度空间中,以u'、v'轴组成的平面表示颜色的彩度,L*轴表示颜色的明度,CEL*u*v*色差公式主要应用于光的加法混色,例如彩色电视和图象处理方面。
YS6060是3nh公司独立开发的完全拥有自主知识产权的国产台式光栅分光测色仪, TFT真彩7inch电容触摸屏、全光源、照明方式:反射D/8、透射D/0(包含UV/排除UV测量) 测量颜色准确稳定、存储...
MORE+
3nh光栅分光仪,颜色测量伴侣 YS3010、YS3020、YS3060是三恩时公司独立开发的完全拥有自主知识产权的国产光栅分光测色仪,仪器稳定、测量颜色准确、功能强大,在便携式光栅分光测色仪...
MORE+
光栅分光测色仪YS4580简介 YS4580高精度分光测色仪采用符合CIE No.15的45/0(45度环形照明,0度接收)几何光学结构,采用凹面光栅分光方式,可准确测量样品反射率及各种色度数据。仪器...
MORE+
光栅分光密度仪YD5050简介 YD5050是3nh公司独立开发的完全拥有自主知识产权的45/0几何光学结构的国产光栅分光密度仪,完全符合标准ISO 5-4,支持ISO 13655标准规定的MOM1,M2M3测试条件,可...
MORE+