色差仪是一种简单的颜色偏差测试仪器,采用国际通用的CIELAB颜色空间,给出被测物的色度值,并经过仪器内置的ΔE*ab色差计算公式,给出总色差值ΔE。那么,色差仪ΔE*ab色差公式的计算式是怎样的?鉴于许多的用户对色差仪ΔE*ab色差公式的计算式是不很清楚,本文就为大家作了介绍。

CIELAB颜色空间是CIE1976L*a*b*颜色空间的简称,该空间为直角坐标系,是由亮度(L)、色调和饱和度三个要素组成。
亮度,用L表示,L值越大,表示越白。L的值域由0到100,L=100表示白色,L=50时,就相当于50%的黑即灰色,L=0表示黑色。
色调(通常用a和b表示)是指彩色光的颜色类别,通常用十字坐标表示,a表示从洋红色至绿色的范围,b表示从黄色至蓝色的范围。
a和b的值域都是由+127~-128,“+a”表示偏红的程度,“-a”表示偏绿的程度;“+b”表示偏黄的程度,“-b”表示偏蓝的程度。如+127a就是洋红色,渐渐过渡到-128a的时候就变成绿色。同理,+127b表示黄色,-128b则是蓝色。所有的颜色就以这三个值交互变化所组成。
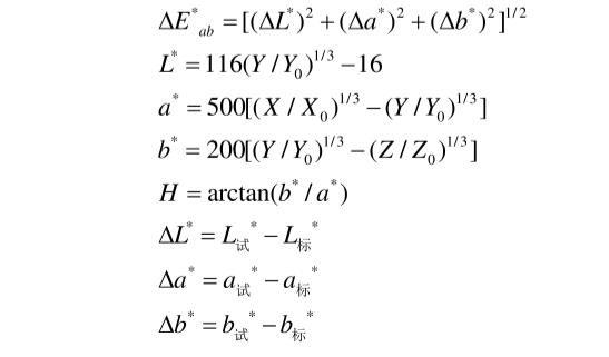
在以Munsell视觉颜色系统为基础的色差公式中,最具重要性的是Adams-Nickerson 色差公式(即 ANLAB),这一公式得到了广泛的应用。CIE 对 ANLAB公式进行了修改和简化,推导出CIE1976 L*a*b*色差公式及其对应的均匀色度空间,为简便起见,CIEL*a*b*改写成CIELAB公式。

式中,△E*ab为总色差;△L*为明度差;△a*,△b*为彩度差;H为色调角;X,Y,Z为色样的三刺激值;X0,Y0,Z0为CIE标准照明体的三刺激值,为常数值。
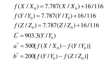
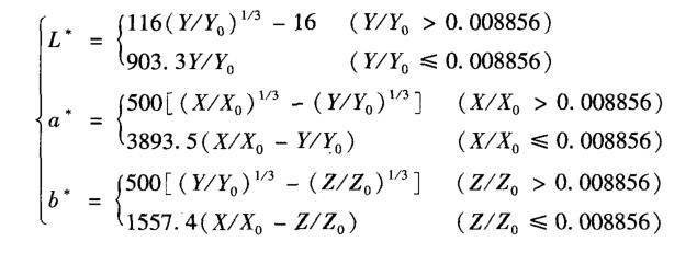
X/X0,Y/Y0,Z/Z0,要求大于0.008856,对于不符合这一要求的极深的颜色,使用上述公式会引起色空间的畸变,导致很大的误差。为解决这一问题Pauli提出了一个解决办法,并被 CIE 所采纳,CIELAB深色修正公式如下所示:

其它的计算相同,在实际应用中,碰到上述极深的颜色情况极少,因此上述修正公式只有在特殊的场合下有用。
CIEL*a*b*色差公式在工业界有着广泛的应用,特别是在染料颜料制造、涂料、纺织印染、油墨、塑料着色等行业的产品颜色质量控制中有着重要的地位。这一色差方程的最大方便和实用之处在于可将一对样品的总色差分解成明度差、饱和度差和色调差。这一点在实际应用中很重要。例如对于印染制造行业来说,同样数值的总色差如果由色调差和饱和度差所引起,可能产品就不合格,但若是主要由明度差所造成,则稍许调整一下强度就可出厂。
在Lab颜色空间中,柱坐标 L*表示亮度,a*和 b*轴代表色度坐标,分别是红-绿坐标和黄-蓝坐标,这三个坐标值均被认为是均匀变化的。这三个属性值可以由XYZ颜色空间的三个属性转化而来。转换公式如下:

其中,在上面的公式中,X、Y、Z 指的是物体的三刺激值,这三个属性值是在海明对立坐标理论的基础上建立起来的。Xn、Yn、Zn表示的是CIE 标准照明体先照射在完全反射漫反射体上,再经其反射到人们眼中的白颜色物体的三刺激值。光源和观察者的条件分别以D65和10°条件为佳。在不同的光源以及观察者条件下,三刺激值是不同的。若采用D65标准照明体X0=94.811,Y0=100.00,Z0=107.304。
YS6060是3nh公司独立开发的完全拥有自主知识产权的国产台式光栅分光测色仪, TFT真彩7inch电容触摸屏、全光源、照明方式:反射D/8、透射D/0(包含UV/排除UV测量) 测量颜色准确稳定、存储...
MORE+
3nh光栅分光仪,颜色测量伴侣 YS3010、YS3020、YS3060是三恩时公司独立开发的完全拥有自主知识产权的国产光栅分光测色仪,仪器稳定、测量颜色准确、功能强大,在便携式光栅分光测色仪...
MORE+
光栅分光测色仪YS4580简介 YS4580高精度分光测色仪采用符合CIE No.15的45/0(45度环形照明,0度接收)几何光学结构,采用凹面光栅分光方式,可准确测量样品反射率及各种色度数据。仪器...
MORE+
光栅分光密度仪YD5050简介 YD5050是3nh公司独立开发的完全拥有自主知识产权的45/0几何光学结构的国产光栅分光密度仪,完全符合标准ISO 5-4,支持ISO 13655标准规定的MOM1,M2M3测试条件,可...
MORE+