在计算色差的颜色空间里,各个不同颜色区域的数值变化必须与眼睛的视觉感觉一致,相同的数值变化对应相同的颜色差别感觉,满足这个条件的颜色空间就被称为均匀颜色空间。反之,就为非均匀颜色空间。本文对色差仪非均匀颜色空间和均匀颜色空间做了介绍。

1.CIE1931RGB色度系统
CIE1931RGB系统是建立在莱特(W.D.Wright)和吉尔德(J.Guild)两项颜色匹配实验基础上的。1931年,CIE(国际发光照明委员会)综合了这两者的实验结果,将他们两人所用的三原色转换成700nm(R)、546.1nm(G)、435.8nm(B)。并以相等数量的三原色刺激值匹配出等能白光(又称为E光源)来确定三刺激值单位。经实验和计算确定,匹配等能白光的(R),(G),(B)三原色单位的亮度比例为1.0000:4.5907:0.0601,他们的辐亮度比率为72.0962:1.3791:1.0000,1931年CIE采用了莱特和吉尔德的实验结果的平均值来定出匹配等能光谱色的RGB三刺激值,用r,g,b来表示。这一组函数称做“CIE1931-RGB系统标准色度观察者光谱三刺激值”,简称“CIE1931-RGB系统标准色度观察者”。这一系统被称做CIE1931-RGB色度系统。
2.CIE1931XYZ色度系统
CIE1931RGB系统的r,g,b是从实验得出的,可以用于色度学计算,但计算中会出现负值,用起来不方便,又不易理解,所以1931年CIE推荐了一个新的国际通用的色度系统。CIE1931XYZ系统是用了三个假想的原色[X]、[Y]、[Z],代替了RGB系统的三原色[R]、[G]、[B],并选择匹配等能白光,确定三刺激值的单位。由CIE1931RGB系统的光谱三刺激值r,g,b通过计算得到CIE1931XYZ系统的标准色度观察者光谱三刺激值。将它定名为“CIE1931标准色度观察者光谱三刺激值”,或称为“CIE1931标准色度观察者颜色匹配函数”,简称为“CIE1931标准色度观察者”。这一系统称做“CIE1931标准色度系统”,或称为2°视场XYZ系统。
3.CIE1964XYZ色度系统
CIE1931标准色度系统建立后,经过多年实践证明,CIE1931标准色度观察者的数据代表了人眼2°视场的色阶平均特性。但是,当观察视场增大到4°以上时,某些研究者从实验中发现光谱三刺激值在波长380~460nm区间内数值偏低。这是由于大面积视场观察条件下,杆体细胞的参与以及中央窝黄色素的影响,颜色视觉会发生一定的变化。日常观察物体时视野经常超过2°范围,因此,为了适应大视场颜色测量的需要,CIE在1964年规定了一组“CIE 1964补充标准色度观察者光谱三刺激值”简称为“CIE1964补充标准色度观察者”,现改称为“CIE1964标准色度观察者”,这一系统称为“CIE1964标准色度系统”,也称为10°视场X10Y10Z10色度系统。
非均匀颜色空间解决了颜色定量描述问题。在非均匀颜色空间中,每个点代表一个颜色,空间两点之间的距离代表两种颜色之间的色差,但空间中相等的距离不能代表相同的色差,为了解决这一问题,产生了均匀颜色空间。
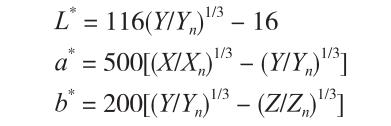
1.CIE1976L*a*b*均匀颜色空间
CIE在1976提出了CIE1976L*a*b*均匀颜色空间,即CIELab颜色空间,它的三维坐标L*,a*,b*的表示分别为:

上述式中,X,Y,Z为颜色样品的三刺激值;Xn,Yn,Zn为指定的白色刺激的三刺激值,大多数情况下为CIE标准照明体照射在完全漫反射体上,再经过完全漫反射面反射至观察者眼中的白色刺激的三刺激值,其中Yn=100。
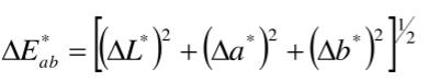
CIE1976L*a*b*色空间中求两个颜色的色差公式为:

式中,△E*ab是两个颜色的色差;△L*,△a*,△b*是两个颜色相应量的差,由下式计算:

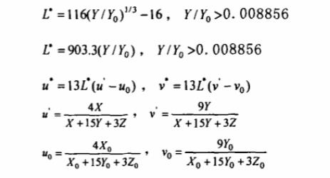
2.CIE1976L*u*v*均匀颜色空间
CIE1976L*u*v*(简称为CIELUV)均匀颜色空间用三维坐标系统明度指数L*和色品指数u*、v*来表示颜色,改善了CIELAB颜色空间的均匀性,定义公式如下:

其中,u',v'为颜色样品的色品坐标;u0,v0为指定的白色刺激的色品坐标;X,Y,Z为样品的三刺激值;X0,Y0,Z0为指定的白色刺激的三刺激值,大多数情况下为CIE标准照明体,照射在完全漫反射体上,反射到观察者眼中的白色刺激的三刺激值,其中Y0=100。
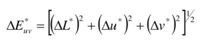
与CIE1976L*a*b*相似,L*,u*,v*是X,Y,Z通过非线性变换得到的,同样用两点间的距离表示颜色之间的色差:

式中,△E*uv是两个颜色的色差;△L*,△u*,△v*是两个颜色相应量的差。由下式计算:

YS6060是3nh公司独立开发的完全拥有自主知识产权的国产台式光栅分光测色仪, TFT真彩7inch电容触摸屏、全光源、照明方式:反射D/8、透射D/0(包含UV/排除UV测量) 测量颜色准确稳定、存储...
MORE+
3nh光栅分光仪,颜色测量伴侣 YS3010、YS3020、YS3060是三恩时公司独立开发的完全拥有自主知识产权的国产光栅分光测色仪,仪器稳定、测量颜色准确、功能强大,在便携式光栅分光测色仪...
MORE+
光栅分光测色仪YS4580简介 YS4580高精度分光测色仪采用符合CIE No.15的45/0(45度环形照明,0度接收)几何光学结构,采用凹面光栅分光方式,可准确测量样品反射率及各种色度数据。仪器...
MORE+
光栅分光密度仪YD5050简介 YD5050是3nh公司独立开发的完全拥有自主知识产权的45/0几何光学结构的国产光栅分光密度仪,完全符合标准ISO 5-4,支持ISO 13655标准规定的MOM1,M2M3测试条件,可...
MORE+