色差仪在进行色差测量时,可以通过特定的色差公式给出相应的色差值ΔE值,目前用于色差仪中的色差公式有ΔE*ab、ΔE*uv、ΔE*94、ΔE*cmc、ΔE*00等,本文对这些色差公式及色差计算式做了介绍,对此感兴趣的朋友可以了解一下!

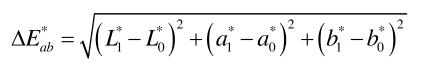
ΔE*ab色差公式是色差仪中目前使用最为广泛的一个色差公式,该色差公式建立在CIELab颜色空间之上的,由直角坐标L*、a*、b*构成。L表示心理明度;a、b表示心理色度。假设该空间中有两个颜色(L*0,a*0,b*0)和(L*1,a*1,b*1),则两个颜色之间的色差为:

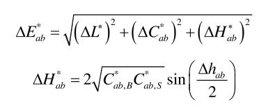
色差也可以用明度差△L*、饱和度差△C*ab和色调差△H*ab来定义:

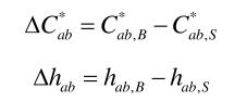
其中,饱和度差△C*ab和色调差△h*ab为:

虽然CIELAB颜色空间预测结果与人眼观察得到的结果并非完全一致,但是与其他色差公式相比,CIELAB色差公式结构简单、易于理解并且在大色差上具备较好的预测精度,因此得到了广泛的应用,在实际应用中具有很大的价值。
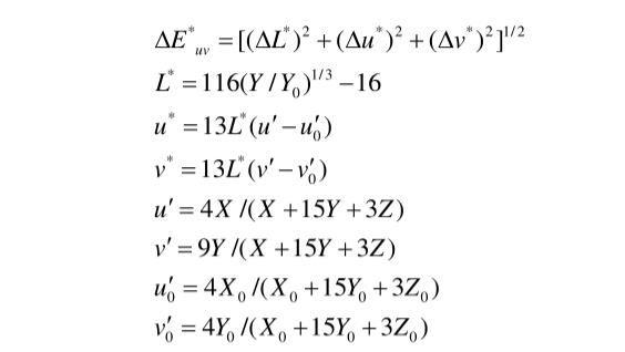
ΔE*uv色差公式是由CIE x-y色度图进行线性变换推导而得。线性变换的目的是改善与目测结果对比的均匀性。CIE1976L*u*v*色差公式为:

式中,X,Y,Z为色样的三刺激值:X0,Y0,Z0为CIE标准照明体的三刺激值,为常数值:X/X0,Y/Y0,Z/Z0,要求大于0.008856,对于不符合这一要求的极深的颜色,使用颜色修正公式。
u',v'分别为线性变换后的色样色度坐标,u'0,v'0分别为线性变换后的CIE标准照明体的色度坐标;L*为明度;u',v为彩度;△E*uv为总色差。
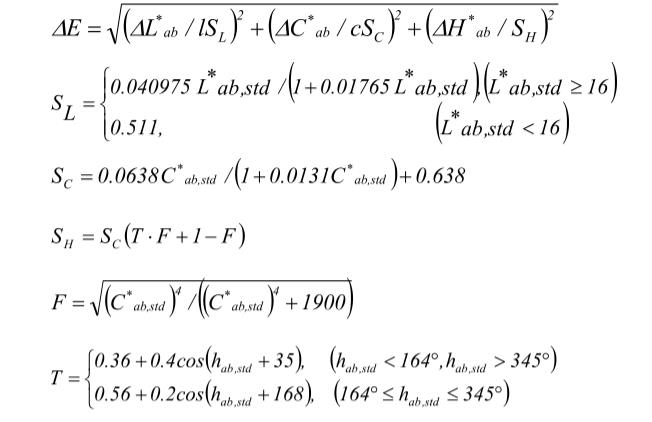
ΔE*cmc色差公式在修正ΔE*ab色差公式的基础上,根据视觉关系调整了每个色调方向的色差椭圆大小和形状;改善了彩度差变化与明度之间的关系,使不同彩度的颜色具有不同的色差容限。非彩色区域附近的椭圆较小,彩度高的椭圆较大,色差容限与彩度的变化成正比。它引入了明度权重因子l彩度权重因子c,能够解决暗色和中性色区域的色差结果计算与人眼测量结果相差较大的问题,适应不同的色差需求。
ΔE*cmc公式定义视觉特性为椭圆,椭圆内部所表示的颜色与标准色在视觉特性上表示一致,椭圆外部所表示的颜色则不一样。用椭圆方程定义的色差公式如下所示:

上式中,△L*、△C*、△H*三个参数分别代表明度差、彩度差和色相差,下标为std的代表标准样本。SL、SC、SH椭圆的半轴,l是明度权重因子,c是彩度权重因子,通过改变l,c因子改变相对椭圆半轴的长度来控制色差范围,对于可接受色差取l=2,c=1。
由于ΔE*cmc色差公式与人眼视觉特性一致,因此独立于颜色区域的“单一阈值”可用于对不同的颜色质量控制,为颜色测量和色差评估带来极大的方便。
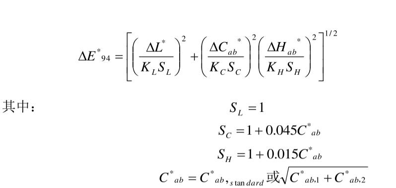
ΔE*94色差公式是CIE于1955年推荐的一个色差公式,其全称为“CIE1994(△L*△C*ab△H*ab)色差模型”,正式缩写形式是CIE94,色差符号为△E*94。△E*94色差公式是CMC(1:c)色差公式的一种改良形式,其结构与ΔE*CMC(l:c)色差公式相似的公式,该公式的计算式如下所示:

CIE94色差公式中ΔL*,△C*ab,△H*ab分别表示两种颜色间的明度差、彩度差和色相差。参数因子KL,KC,KH可根据不同的评价对象和评价条件选择不同数值,参考条件下的参数因子数值均为1。当观察条件改变时,可以对各参数进行单独改变以适应视觉上每个颜色分量(明度、彩度、色相)的变化。
CIE94色差公式沿用了变化参数的思想,对关系颜色差别的三要素明度、彩度和色相给出了更好的参考。常用的参考数值仅仅对明度的取值进行改变,例如,评价纺织品是明度的参数因子取值为2,而在印刷行业中推荐的明度参数因子的取值为1.4,这两种情况下其他两者的取值与参考条件下的取值相同。
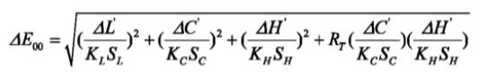
ΔE*00色差式是CIEDE2000色差公式的简称,是CIE最新推荐的基于CIELAB的色差公式。为了进一步改善工业色差评价的准确性,CIE专门成立了工业色差评价的色相与明度相关修正专业委员会TC1-47,经过该委员会根据对现有色差模型和大量视觉评价数据的大量分析之后,终于在2000年推荐了该公式。其色差式如下所示:

式中,ΔL'为亮度差;ΔC'为彩度差;ΔH'为色相差;KL、KC、KH分别为亮度、彩度、色相的权重因子,在本文的应用情况下,将其取值为KL=KC=KH=1;SL、SC、SH分别为对亮度、彩色、色相的补偿函数;RT为对蓝色区域的旋转因子。
CIEDE2000只是重新定义了色差的计算方法,并不是建立了一个新的均匀色空间。对于一般的工业色差评估,可以直接用该公式进行计算,计算结果即可表示被知觉的色差。
YS6060是3nh公司独立开发的完全拥有自主知识产权的国产台式光栅分光测色仪, TFT真彩7inch电容触摸屏、全光源、照明方式:反射D/8、透射D/0(包含UV/排除UV测量) 测量颜色准确稳定、存储...
MORE+
3nh光栅分光仪,颜色测量伴侣 YS3010、YS3020、YS3060是三恩时公司独立开发的完全拥有自主知识产权的国产光栅分光测色仪,仪器稳定、测量颜色准确、功能强大,在便携式光栅分光测色仪...
MORE+
光栅分光测色仪YS4580简介 YS4580高精度分光测色仪采用符合CIE No.15的45/0(45度环形照明,0度接收)几何光学结构,采用凹面光栅分光方式,可准确测量样品反射率及各种色度数据。仪器...
MORE+
光栅分光密度仪YD5050简介 YD5050是3nh公司独立开发的完全拥有自主知识产权的45/0几何光学结构的国产光栅分光密度仪,完全符合标准ISO 5-4,支持ISO 13655标准规定的MOM1,M2M3测试条件,可...
MORE+