在色差仪的技术参数中,有一项重要的参数,就是色差公式。色差仪在测量颜色之间的差异值时,可以通过特定的色差公式,给出颜色之间的总色差值。本文对色差仪色差公式的类型及色差公式的设置方法做了介绍。

色差仪中使用的色差公式类型有很多,常见有ΔE*ab、ΔE*uv、ΔE*94、ΔE*cmc、ΔE*00、ΔE(Hunter)等,下文对这些常见色差公式计算是做了介绍。
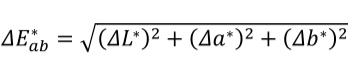
1.ΔE*ab色差公式
ΔE*ab色差公式是CIELAB色差公式的简称,CIELAB色差公式是基于近似均匀的三维颜色空间建立的,由直角坐标L*、a*、b*构成,国际照明委员会推荐使用。该色差公式建立在CIELAB颜色空间之上,若两个颜色都是按照L*a*b*标定的,则两者的总色差计算公式如下计算。

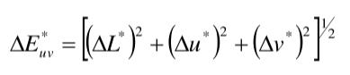
2.ΔE*uv色差公式
ΔE*uv色差公式是由CIE x-y色度图进行线性变换推导而得。线性变换的目的是改善与目测结果对比的均匀性。CIE1976L*u*v*色差公式为:

式中,ΔL*为明度差;Δu',Δv差为彩度;△E*uv为总色差。
3.ΔE*cmc色差公式
ΔE*cmc色差公式是在CIELAB公式的基础上修改推导出来的,先后被英美两国采用作为各自的国家标准,并于1995年被ISO接受成为国际标准。色差公式如下所示:

式中:△L*、△C*ab、△H*ab由CIE1976LAB色差公式计算得到,SL、SC、SH分别为明度、彩度和色调加权函数,用于调整不同明度、不同彩度和不同色调对色差的贡献大小。l和c为参数因子,用于调整不同的观察条件对色差的影响大小。l、c值的选用:对色差的“可觉察性”目视鉴定资料,可取l=c=1。而对色差的“可接受性”目视鉴定资料,则可取l=2、c=1。
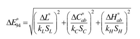
4.ΔE*94色差公式
ΔE*94色差公式是CIE于1955年推荐的一个色差公式,其全称为“CIE1994(△L*△C*ab△H*ab)色差模型”,正式缩写形式是CIE94,色差符号为△E*94。△E*94色差公式是CMC(1:c)色差公式的一种改良形式,其结构与ΔE*CMC(l:c)色差公式相似的公式,该公式的计算式如下所示:

5.ΔE*00色差公式
ΔE*00色差式是CIEDE2000色差公式的简称,是CIE最新推荐的基于CIELAB的色差公式。为了进一步改善工业色差评价的准确性,CIE专门成立了工业色差评价的色相与明度相关修正专业委员会TC1-47,经过该委员会根据对现有色差模型和大量视觉评价数据的大量分析之后,终于在2000年推荐了该公式。其色差式如下所示:

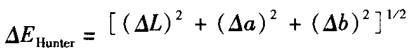
6.ΔE(Hunter)色差公式
Hunter色差公式是由亨特(Hunter)为使光电色度计读数方便,而于1948年提出的Lab对抗色系统中计算色差的公式,大多用于陶瓷、塑料和纺织品等,一般可满足工业生产管理的需要。在该系统中,L表示物体反射光的明度,a表示反射光中红色与绿色的成分,b表示反射光中黄色与蓝色的成分。因此,Lab系统的色差公式可表示为:

式中:△L、△a、△b分别为两个物体表面色的明度差和色品坐标差。
不同类型的色差仪其色差公式的设置方法是不同的,下面以三恩时TS70分光色差仪为例,为大家介绍色差仪色差公式的设置方法。
在主菜单下点击“颜色指数”进入颜色指数窗口,如下图所示。

下面以设置“色差公式”为△E*00为例进行详细讲解。
颜色指数界面,选择“色差公式”,色差公式选项有:△E*ab、△E*uv、△E*94、△E*cmc(2:1)、
△E*cmc(1:1)、△E*00、DIN△E99(部分型号只有部分选项)。
点击色差公式“△E*00”,可选择相应的色差公式,点击“√”确认,如下图所示:

被选中的色差公式会在试样测量时用于计算试样的色差,如下图所示。

被选中的颜色指数会在标祥和试样祥测量的颜色指数显示区显示(根据指数的不同,可能只会显示在试样中),在测量界面或查看记界面向右滑动界面就可以查看颜色指数显示区。
YS6060是3nh公司独立开发的完全拥有自主知识产权的国产台式光栅分光测色仪, TFT真彩7inch电容触摸屏、全光源、照明方式:反射D/8、透射D/0(包含UV/排除UV测量) 测量颜色准确稳定、存储...
MORE+
3nh光栅分光仪,颜色测量伴侣 YS3010、YS3020、YS3060是三恩时公司独立开发的完全拥有自主知识产权的国产光栅分光测色仪,仪器稳定、测量颜色准确、功能强大,在便携式光栅分光测色仪...
MORE+
光栅分光测色仪YS4580简介 YS4580高精度分光测色仪采用符合CIE No.15的45/0(45度环形照明,0度接收)几何光学结构,采用凹面光栅分光方式,可准确测量样品反射率及各种色度数据。仪器...
MORE+
光栅分光密度仪YD5050简介 YD5050是3nh公司独立开发的完全拥有自主知识产权的45/0几何光学结构的国产光栅分光密度仪,完全符合标准ISO 5-4,支持ISO 13655标准规定的MOM1,M2M3测试条件,可...
MORE+