色差计是一种常见的光电积分式测色仪器,它利用仪器内部的标准光源照射被测物体,在整个可见光波长范围内进行一次积分测量,得到透射或反射物体色的三刺激值和色品坐标,并通过专用微机系统给出两个被测样品之间的色差值。本文对色度测量中三刺激值和色品坐标的含义做了解析,大家不妨了解一下!

CIE1931RGB系统中的r、g、b是实际测试的实验数据,它可以用于色度学的计算,但这组数值计算时存在产生负值的可能性,这一缺陷在实际使用时带来不便。1931年时CIE提出了新的国际通用的色度系统,CIE1931-XYZ系统使用了三个本身不存在的三原色[X]、[Y]、[Z]替换了之前RGB系统中的三原色[R]、[G]、[B],同时选择匹配等能白光,确定了三刺激值的单位。最终由CIE1931-RGB系统的光谱三刺激值r,g,b通过换算得出CIE1931-XYZ系统中标准色度观察者的光谱三刺激值。
在颜色的匹配实验中,选取三种颜色后,通过三种颜色的相加混合能够调制成任意颜色,我们称这样的三种颜色为三原色。理论上来说三原色的选择可以是任意的,但是三原色之中任何一种颜色不能通过剩下的两种颜色混合得到,目前最为常用的三原色为红、绿、蓝三原色。颜色调配中,调制目标色所需要使用三原色的数量称为三刺激值。当我们确定一组三原色后,则每种颜色对应固定的三刺激值,因此可以使用三刺激值量化表示一种颜色。色度学中三刺激值的单位不是用物理量为单位,而是采用了色度学单位也称之为三T单位。具体的确定方式为选择一个特定的白色光为基准,然后使用三原色利用混色与这个白光相匹配,此时匹配这个白光所用到的三原色光通量值分别为lrlm,lglm、lblm,此时称lr:lg:lb为三刺激值的相对亮度单位,同时也就是色度学单位。
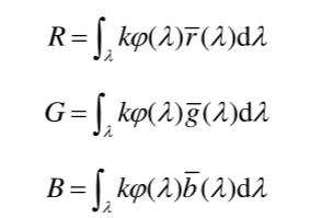
在目标色的颜色调配实验中,目标色也可以是某种波长的单色光,这个波长的单色光对应着一组三刺激值R、G、B。对于不同波长的单色光通过调光调色都可以得到对应各种波长的三刺激值,使用等能光谱的各种单色光进行颜色调制得到的三刺激值又称为光谱三刺激值,这也是匹配等能光谱三原色的数量。光谱三刺激值的计算方式是通过将目标色的光谱分布函数φ(λ),按照波长加权光谱的三刺激值最终得到每一波长的三刺激值,通过积分运算目标色的三刺激值为:

其中波长的积分范围是可见光的波段。
一种特定颜色的色品只取决于三刺激值的大小,因此可以使用各三原色的刺激值占总的三刺激值之和 R+G+B的比例等价替换表示,这组比值称之为色品坐标,使用r、g、b表示。色品坐标与三刺激值的等价关系如下:

虽然色品坐标有三个变量,但由于r+g+b=1,所以只要确定其中两个量,那么第三个变量也就确定了。因此一般使用(x,y)色品坐标的大小量化表示一种颜色。
通过色品坐标表示的平面图为色品图。CIE1931-XYZ系统色品图如下图所示。图中横坐标代表色品坐标x的大小,纵坐标代表色品坐标y的大小,通过一组(x,y)表示一种特定的颜色。

YS6060是3nh公司独立开发的完全拥有自主知识产权的国产台式光栅分光测色仪, TFT真彩7inch电容触摸屏、全光源、照明方式:反射D/8、透射D/0(包含UV/排除UV测量) 测量颜色准确稳定、存储...
MORE+
3nh光栅分光仪,颜色测量伴侣 YS3010、YS3020、YS3060是三恩时公司独立开发的完全拥有自主知识产权的国产光栅分光测色仪,仪器稳定、测量颜色准确、功能强大,在便携式光栅分光测色仪...
MORE+
光栅分光测色仪YS4580简介 YS4580高精度分光测色仪采用符合CIE No.15的45/0(45度环形照明,0度接收)几何光学结构,采用凹面光栅分光方式,可准确测量样品反射率及各种色度数据。仪器...
MORE+
光栅分光密度仪YD5050简介 YD5050是3nh公司独立开发的完全拥有自主知识产权的45/0几何光学结构的国产光栅分光密度仪,完全符合标准ISO 5-4,支持ISO 13655标准规定的MOM1,M2M3测试条件,可...
MORE+