色差仪作为颜色量化的重要工具,在对颜色进行量化时,可以在特定的颜色空间下,将颜色信息以数字的形式表示出来,并以此作为颜色判断的标准。本文对色差仪色差度量中均匀颜色空间的类型做了介绍,以帮助大家更好的应用颜色空间。

定量的表示颜色感知差别的量称为色差,可以用CIE-xy色品图上的距离来求出的色差却是不均匀的,如果按照常规思维因距离相等就应该认为其感知上的颜色差异也相同,但是实际上,随着色品图上的位置不同,其感知色差也有相当大的差别,这显然是很不符合工业应用需求的。
为了定量的表示色差,需要对人眼的颜色分辨能力进行测试和分析。颜色是三维量,包括明度和色品(色调,彩度或饱和度等),因此对于颜色分辨力的研究需要从光亮度分辨力,波长和色纯度的分辨力以及色品的分辨力三方面进行讨论。为了在色品坐标的均匀性提高的同时,使其明度的均匀性也得到改善,应考虑将均匀色品标尺和均匀明度标尺组合起来,形成一个均匀的三维空间,称之为均匀颜色空间,并在此均匀空间对颜色差异性进行评价。
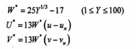
1964年,国际照明委员会推荐了W*U*V*颜色空间,采用三个参数来表示颜色,即:明度指数W*,色品指数U*和V*。并由此组成新的三维坐标来表示颜色,计算公式如下:

其中,u,v是颜色样品的CIE1960色品坐标,而un和vn照明光源的色品坐标,Y为CIELAB1931XYZ标准色度系统中的刺激值Y,XYZ系统和RGB系统三刺激值之间的转换关系式如下所示。

由此可见,明度指数与刺激值Y有关,并且明度指数标尺在感知上是均匀的,也就是说每一个单位量的差别可以代表等值的感知差异,所以它可以更准确的表达颜色明度的变化;而色品指数U*和V*也考虑了明度指数W'对其的影响,故这两个值也随着W*的变化增大或减小。
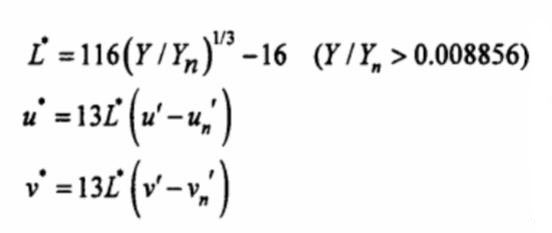
在总结了当时所使用的各种颜色空间的基础上,CIE于1976年正式推荐了两个经过改良的均匀颜色空间,以便更客观准确地对颜色的差别进行测量和评价。他们是CIE1976L*u*v*颜色空间和CIE1976L*a*b*颜色空间,在这里先介绍CIE1976L*u*v*颜色空间。
在原有的CIEW*U*V*颜色空间基础上,国际照明委员会对其进行改进,提出了采用如下的L*u*v*作为三角坐标来表示颜色空间,称为CIELUV颜色空间主要应用于加混色的表示和评价,例如电视工业等。其中,L*为明度,u*和v*表示颜色的色品坐标,计算公式如下:

其中,u'、v'和un'、vn'分别是样品颜色和CIE标准光源的CIE1976USC色品坐标,可以通过颜色样品的三刺激值X,Y,Z计算得到。
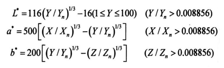
CIE1976L*a*b*颜色空间主要用于减混色的表示和评价,例如表面色料工业等,简称为CIELAB颜色空间。其中,L*为明度,a*和b*表示颜色的色品坐标,计算公式如下:

其中,X,Y,Z为颜色样品的三刺激值,Xn、Yn、Zn为观察者所观察到的CIE标准光源在完全漫反射体上反射出的三刺激值,其中Yn=100。
YS6060是3nh公司独立开发的完全拥有自主知识产权的国产台式光栅分光测色仪, TFT真彩7inch电容触摸屏、全光源、照明方式:反射D/8、透射D/0(包含UV/排除UV测量) 测量颜色准确稳定、存储...
MORE+
3nh光栅分光仪,颜色测量伴侣 YS3010、YS3020、YS3060是三恩时公司独立开发的完全拥有自主知识产权的国产光栅分光测色仪,仪器稳定、测量颜色准确、功能强大,在便携式光栅分光测色仪...
MORE+
光栅分光测色仪YS4580简介 YS4580高精度分光测色仪采用符合CIE No.15的45/0(45度环形照明,0度接收)几何光学结构,采用凹面光栅分光方式,可准确测量样品反射率及各种色度数据。仪器...
MORE+
光栅分光密度仪YD5050简介 YD5050是3nh公司独立开发的完全拥有自主知识产权的45/0几何光学结构的国产光栅分光密度仪,完全符合标准ISO 5-4,支持ISO 13655标准规定的MOM1,M2M3测试条件,可...
MORE+