印刷色彩管理流程中要涉及到不同的颜色空间之间的转换,不同的设备有不同的颜色空间,为了更好地描述色彩管理原理,就需要对印刷色彩管理中不同类型的颜色空间有数了解。本文对印刷色彩管理中常用颜色空间类型做了介绍。

颜色混合的基本定律表明:自然界任何一种颜色均可用红、绿、蓝三种原色光混合匹配产生,这在几何上能够以R、G、B三个互相垂直的轴所构成的空间坐标系统来表示,称为 RGB 三刺激空间,或RGB色空间。对于任何一种颜色,都可以以一定比例的红光、绿光和蓝光匹配得到。RGB系统被大部分显示器、数码相机、扫描仪所支持,是彩色图像处理中常用的颜色空间。
众所周知,不同的扫描仪扫描同一幅图像,会得到不同色彩的图像数据;不同型号的显示器显示同一幅图像,也会有不同的色彩显示结果。因此我们将RGB色彩空间称为与设备相关的色彩空间。这里所说的RGB 空间与CIE1931RGB真实三原色表色系统空间是不同的,后者是与设备无关的。
印刷工业中的半色调复制是通过青(C)、品(M)、黄(Y)三原色油墨的不同网点面积率的叠印来表现丰富多彩的颜色和阶调的,这就是CMY颜色空间。实际印刷中,一般采用青(C)、品(M)、黄(Y)、黑(K)四色印刷,在印刷的中间调至暗调增加黑版。
CMYK颜色空间是和设备或者是印刷过程相关的,工艺方法、油墨特性、纸张特性不同的印刷条件下印刷结果不相同。因此,CMYK颜色空间称为与设备有关的颜色空间。而且,CMYK 具有多值性,也就是说对同一种具有相同绝对色度的颜色,在相同的印刷过程前提下,可以用多种CMYK数字组合来表示和印刷出来。这种特性给颜色管理带来了很多麻烦,同样也给控制带来了很多的灵活性。
1931年CIE在 RGB系统基础上,改用三个假想的原色X、Y、Z建立了一个新的色度系统。将匹配等能光谱的三刺激值的三原色数量,叫做“CIE 1931标准色度观察者光谱三刺激值”,,简称为“CIE1931 标准色度观察者”。CIE1931XYZ颜色空间稍加变换就可得到 CIE1931XYZ色彩空间,其中Y取三刺激值中Y的值,表示亮度,x、y反映颜色的色度特性。
CIE1931XYZ 和 CIE1931Yxy都是与设备无关的色彩空间,色彩管理中,选择与设备无关的颜色空间十分重要,但是,在CIE1931Yxy色彩空间中,两种不同颜色之间的距离值并不能正确地反映人们色彩感觉差别的大小,也就是说在CIE1931Yxy色差图中,在不同的位置和不同方向上颜色的宽容量不同,这就是CIE1931Yxy颜色空间的不均匀性。这一缺陷的存在,使得在 CIE1931XYZ和 CIE1931Yxy空间不能直观地评价颜色。
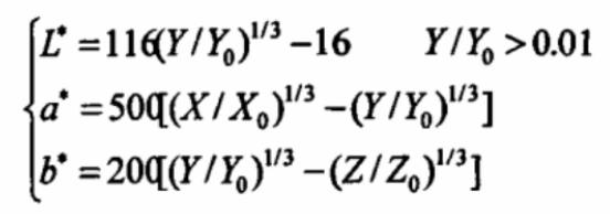
鉴于CIE1931XYZ颜色空间的不均匀性,国际照明委员会又向世界各国推荐了几个国际通用的均匀颜色空间和色差公式,CIE1976L*a*b*色空间就是其中之一。CIE1976L*a*b*空间是CIE1931XYZ空间的一种非线性变换空间,其计算公式如下:

式中:X0、Y0、Z0为CIE标准照明体的三刺激值。
CIE1976L*a*b*颜色空间的优点是:当颜色的色差大于视觉的识别阙值(恰可察觉)而又小于孟塞尔系统中相邻两极的色差值时,能较好地反映物体色的心理感受效果。而且,CIE1976L*a*b'表色直观,能直观的评价颜色。
CIE1976L*a*b*是与设备无关的色彩空间,在色彩管理中,利用此特性,可沟通和推算出原稿色、屏幕色和印刷色在色空间的对应关系,达到颜色在视觉上的一致,实现不同设备之间的色彩转换。
YS6060是3nh公司独立开发的完全拥有自主知识产权的国产台式光栅分光测色仪, TFT真彩7inch电容触摸屏、全光源、照明方式:反射D/8、透射D/0(包含UV/排除UV测量) 测量颜色准确稳定、存储...
MORE+
3nh光栅分光仪,颜色测量伴侣 YS3010、YS3020、YS3060是三恩时公司独立开发的完全拥有自主知识产权的国产光栅分光测色仪,仪器稳定、测量颜色准确、功能强大,在便携式光栅分光测色仪...
MORE+
光栅分光测色仪YS4580简介 YS4580高精度分光测色仪采用符合CIE No.15的45/0(45度环形照明,0度接收)几何光学结构,采用凹面光栅分光方式,可准确测量样品反射率及各种色度数据。仪器...
MORE+
光栅分光密度仪YD5050简介 YD5050是3nh公司独立开发的完全拥有自主知识产权的45/0几何光学结构的国产光栅分光密度仪,完全符合标准ISO 5-4,支持ISO 13655标准规定的MOM1,M2M3测试条件,可...
MORE+