色差是指两种颜色在人眼视觉感知上的差异,主要体现在明度、彩度和色相三个方面。为了定量评估这种色差,采用色差公式进行色差分析,常见的色差公式包括CIELab和CIEDE2000色差公式。本文对色差计算公式CIELab和CIEDE2000色差公式的区别做了介绍。

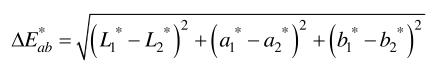
CIELab色差公式基于CIEL*a*b*颜色空间中的明度(L*)、绿色-红色分量(a*)和蓝色-黄色分量(b*),通过计算颜色空间中两点之间的欧式距离来评估色差,其计算公式如下:

其中,L*表示明度;a*表示从绿色到红色的颜色维度,b*表示从蓝色到黄色的颜色维度,(L*1,a*1,b*1)和(L*2,a*2,b*2)分别为两种颜色的CIEL*a*b*值。
CIELab色差公式的计算方法简便,与人眼的视觉感知有较好的相关性,因此在色彩测量领域得到了广泛应用。然而,该公式未能充分考虑人眼对不同颜色的敏感性差异,因此在某些情况下无法完全准确地反映人眼对颜色差异的感知。
CIEDE2000色差公式是在CIELab色差公式的基础上提出的色差公式,CIEDE2000公式在理论上改进了CIELab色差公式,使其更加符合人眼的视觉感知,尤其是在对明度、色调、彩度的感知上更为准确。公式的具体形式更加复杂,通过对每个颜色维度进行不同的加权处理,使得它能够在实际应用中提供更为精确的色差评估。CIEDE2000的总式为:

其中,△L'、△C'、△H'分别为明度差、彩度差和色相差,SL、SC、SH为标度因子,KL、KC、KH为可调节参数,RT是对色差的旋转校正项。
CIEDE2000公式通过更加复杂的计算方式改善了CIEL*a*b*颜色空间的均匀性,使得色差的计算结果更贴近人眼的实际感知。
YS6060是3nh公司独立开发的完全拥有自主知识产权的国产台式光栅分光测色仪, TFT真彩7inch电容触摸屏、全光源、照明方式:反射D/8、透射D/0(包含UV/排除UV测量) 测量颜色准确稳定、存储...
MORE+
3nh光栅分光仪,颜色测量伴侣 YS3010、YS3020、YS3060是三恩时公司独立开发的完全拥有自主知识产权的国产光栅分光测色仪,仪器稳定、测量颜色准确、功能强大,在便携式光栅分光测色仪...
MORE+
光栅分光测色仪YS4580简介 YS4580高精度分光测色仪采用符合CIE No.15的45/0(45度环形照明,0度接收)几何光学结构,采用凹面光栅分光方式,可准确测量样品反射率及各种色度数据。仪器...
MORE+
光栅分光密度仪YD5050简介 YD5050是3nh公司独立开发的完全拥有自主知识产权的45/0几何光学结构的国产光栅分光密度仪,完全符合标准ISO 5-4,支持ISO 13655标准规定的MOM1,M2M3测试条件,可...
MORE+