颜色三刺激值什么意思?颜色三刺激值是用于定量描述颜色的一组数值,它基于人眼对不同波长光的响应特性以及颜色混合的原理,光谱三刺激值是计算颜色三刺激值的基础。那么,怎么计算颜色三刺激值?本文对颜色三刺激值及颜色三刺激值计算方法做了介绍。

CIE表色系统是基于混色系统的表色系统。在混色系统中,把从感知色中去除物体特有的感觉因素后得到的颜色作为对象,这对感觉来说是最单纯的,并称之为色感觉。光进入人眼并产生色感觉,把这样的光称为色刺激,任意的色刺激都可以用等于三种锥状体(用于感知颜色)的响应量的三种色光的混色与其匹配。因此可以不直接采用三种锥状体的响应量而由这三种色光的混合量表示该色刺激。
混色系统就是基于色刺激的这一性质,用三个值表示色刺激,因此称为三色表色系统,称三种色光的混合量为该色刺激的三刺激值。把色刺激的光谱分布称作色刺激函数,三刺激值是由色刺激函数这种物理量和人眼的心理上的光谱响应之组合而求出的,因此是一种心理物理量。我们把表示色刺激特性的三刺激值的三个数值称为色度值,把用色度值表示的色刺激称为心理物理色,因此作为混色系统的表色值可用色度值。CIE标准色度系统是用三刺激值来定量描述颜色量的,包括RGB系统、XYZ系统等。
三刺激值是颜色科学的基础与核心,描述颜色的三刺激值有多种方式,如电脑等设备中采用的三刺激值R、G、B和CIE规定的三刺激值X、Y、Z等。在实际工业中常用的各种色度学度量都需要借助三刺激值X、Y、Z进行计算,它是颜色工业应用的纽带。利用光谱数据计算颜色参数时,需要先求取颜色的CIE三刺激值。以CIE1964观测视场为例,在可见光范围内,计算物体颜色L*a*b*值的方法如下:
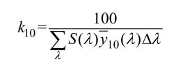
1.计算三刺激值

式中,k10为归化系数,可用下式表示,其作用是规定Y10值最大为100。

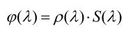
若被测物体为非荧光体,则φ(λ)表示颜色刺激函数,如下式所示:

上式中,ρ(λ)表示物体光谱反射比,S(λ)表示标准照明光源的相对光谱功率分布。由于S(λ)通常是已知的,因此,只要获取物体的光谱反射比并结合上述公式就可计算出物体颜色的三刺激值。
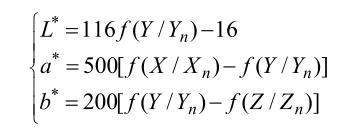
2.计算L*、a*、b*值
将步骤1得到的X10、Y10、Z10带入到下列公式中,替换掉原有公式中的X、Y、Z即可计算出物体颜色的L*、a*、b*值。

综上所述,当采用物体光谱反射率计算物体颜色参数时,需要两个步骤。首先由光谱反射率数据得到物体颜色三刺激值X、Y、Z,之后再由三刺激值X、Y、Z得到物体颜色 L*、a*、b*值。
YS6060是3nh公司独立开发的完全拥有自主知识产权的国产台式光栅分光测色仪, TFT真彩7inch电容触摸屏、全光源、照明方式:反射D/8、透射D/0(包含UV/排除UV测量) 测量颜色准确稳定、存储...
MORE+
3nh光栅分光仪,颜色测量伴侣 YS3010、YS3020、YS3060是三恩时公司独立开发的完全拥有自主知识产权的国产光栅分光测色仪,仪器稳定、测量颜色准确、功能强大,在便携式光栅分光测色仪...
MORE+
光栅分光测色仪YS4580简介 YS4580高精度分光测色仪采用符合CIE No.15的45/0(45度环形照明,0度接收)几何光学结构,采用凹面光栅分光方式,可准确测量样品反射率及各种色度数据。仪器...
MORE+
光栅分光密度仪YD5050简介 YD5050是3nh公司独立开发的完全拥有自主知识产权的45/0几何光学结构的国产光栅分光密度仪,完全符合标准ISO 5-4,支持ISO 13655标准规定的MOM1,M2M3测试条件,可...
MORE+