色差仪内置了多种类型的表色系统,可以用于不同行业颜色的定量描述,其中比较常见表色系统有L*a*b*、L*c*h*和Lab表色系统。不同类型的表色系统,对颜色的定量描述方法是不同的。本文对色差仪L*a*b*、L*c*h*和Lab表色系统做了介绍。

CIEL*a*b*表色系统属比较均匀的表色系统,在此色度空间中以相等的距离近似地等于我们所觉察到的色差,很多颜色系统中均以此作为数值化色差判别的标准。其中,L*是亮度分量,a*和b*是色度坐标,三者构成一个直角坐标系,标样(目标色)和比较色样(样品色)的色差值定义为:
L*=116(Y/Yn)1/3-16
a*=500[(X/Xn)1/3-(Y/Yn)1/3]
b*=200[(Y/Yn)1/3-(Z/Zn)1/3]
△L*=L*目标色-L*样品色
△a*=a*目标色-a*样品色
△b*=b*目标色-b*样品色
△E*ab=[(△L*)2+(△a*)2+(△b*)2]1/2
L*C*H°色系统是使用柱面坐标的表色系统,L*是亮度变量,C*是色饱和度,H°是色调角,定义为:
L*=L*
C*=[(a*)2+(b*)2]1/2
H°=A+tan-1(a*/b*)
当a*>0和b*≥0时,A=0;当a*<0时,A=180;当a*<0和b*<0时,A=360。
L*c*h*是CIELab颜色空间的另一种表示形式。L表示明度(与CIELAB中的L*相同),C(Chroma)表示色度,即颜色的鲜艳程度,h(Hue)表示色调角,决定颜色的种类。
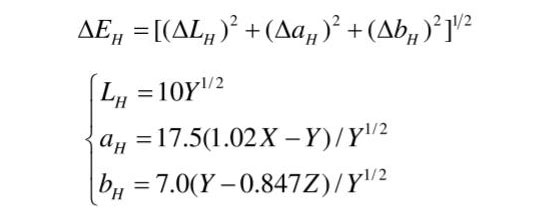
Hunter Lab表色系统是1966年研制出来的,它以测量值表示的色差更加严格地符合所感受的色差程度,其Lab的定义形式非常相似于L*a*b*表色系统的定义,只是参数不同而己。
Hunter Lab系统分别以L、a、b 表示物体反射光的三个量,其中L表示反射光的明度,a表示反射光中红色与绿色的成分,b表示反射光中黄色与蓝色的成分。该系统的L,a,b值的表示及其色差公式为:

式中 X,Y,Z 为样品的三刺激值。Hunter Lab系统常用于陶瓷工业、塑料工业和纺织工业。
YS6060是3nh公司独立开发的完全拥有自主知识产权的国产台式光栅分光测色仪, TFT真彩7inch电容触摸屏、全光源、照明方式:反射D/8、透射D/0(包含UV/排除UV测量) 测量颜色准确稳定、存储...
MORE+
3nh光栅分光仪,颜色测量伴侣 YS3010、YS3020、YS3060是三恩时公司独立开发的完全拥有自主知识产权的国产光栅分光测色仪,仪器稳定、测量颜色准确、功能强大,在便携式光栅分光测色仪...
MORE+
光栅分光测色仪YS4580简介 YS4580高精度分光测色仪采用符合CIE No.15的45/0(45度环形照明,0度接收)几何光学结构,采用凹面光栅分光方式,可准确测量样品反射率及各种色度数据。仪器...
MORE+
光栅分光密度仪YD5050简介 YD5050是3nh公司独立开发的完全拥有自主知识产权的45/0几何光学结构的国产光栅分光密度仪,完全符合标准ISO 5-4,支持ISO 13655标准规定的MOM1,M2M3测试条件,可...
MORE+