光照度表示的是光通量的表面密度,即单位受光面上的光通量;光强表示光通量的空间密度,即单位立体角内的光通量。它们都与光通量有关,那么,光源光照度与光通量、光强度什么关系?本文对此做了简要的分析,感兴趣的朋友不妨了解一下!

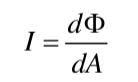
1.光照度
光源在单位面积上的光通量,单位为勒克斯(lux)。其表达式为:

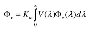
2.光通量
光通量是计量光源在单位时间发出来能被眼睛感知到的光量,单位为lm(流明)。表达式为:

其中,Φv为光通量,V(λ)为视觉函数,Φe(λ)为辐射通量,Km为光谱光视效能的最大值。
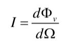
3.光强度
光源在给定方向上的单位立体角的光通量,定义为这个方向上的发光强度(cd,坎德拉)。其表达式为:

照度表示被照面上接受的光的强弱,是单位面积上所得到的光通量。如果要想求出距离一个光源rm处的光照度,可以设想一个以光源为中心、半径为rm的球面,球面内侧接受的光通量是均匀的,这个球面的面积A为A=4π·r2,照度E等于光通量除以面积,即E=Фv/A=Фv/4π·r2(lx)。
例如,一个发光强度为1cd的点光源,均匀发出的光通量为4πlm,距离这个点光源1m位置的照度为1lx。距离这个点光源2m位置的照度则为(1/4)1x。
反之,如果已知照度E和被照面积A,也可以求出光通量Фv=EA,光通量等于照度乘以面积。如果被照面积上照度是不均匀的,可把被照面积划分为多个小面积△A1……△An,测出每个小面积上的照度E1……En,用近似公式计算,即每个小面积与其上的照度相乘,再全相加得到光通量。
如果划分的n个小面积其面积全相等,则:Фv=A[(E1+……+En)/n]。
这是常用的计算投影机光通量的方法,平均照度乘以投影面积。例如,如果平均照度为1000lx,投影面积为3m2,简单相乘可知光通量为3000lm。
发光强度和照度之间存在一定的关系,发光强度是指光源发出的光强,而照度则是指光源发出的光在某一方向上的光强。发光强度是指光强度的大小,而照度则是指光强度的分布。发光强度越大,照度也越大,反之亦然。因此,发光强度和照度之间的关系是相互影响的,一个影响另一个。
此外,发光强度和照度也受到发光物体的形状和大小的影响。发光物体的形状越复杂,发光强度和照度的差异越大;发光物体的大小越大,发光强度和照度也越大。
发光强度和照度之间存在一定的关系,发光强度越大,照度也越大,发光物体的形状和大小也会影响发光强度和照度。
YS6060是3nh公司独立开发的完全拥有自主知识产权的国产台式光栅分光测色仪, TFT真彩7inch电容触摸屏、全光源、照明方式:反射D/8、透射D/0(包含UV/排除UV测量) 测量颜色准确稳定、存储...
MORE+
3nh光栅分光仪,颜色测量伴侣 YS3010、YS3020、YS3060是三恩时公司独立开发的完全拥有自主知识产权的国产光栅分光测色仪,仪器稳定、测量颜色准确、功能强大,在便携式光栅分光测色仪...
MORE+
光栅分光测色仪YS4580简介 YS4580高精度分光测色仪采用符合CIE No.15的45/0(45度环形照明,0度接收)几何光学结构,采用凹面光栅分光方式,可准确测量样品反射率及各种色度数据。仪器...
MORE+
光栅分光密度仪YD5050简介 YD5050是3nh公司独立开发的完全拥有自主知识产权的45/0几何光学结构的国产光栅分光密度仪,完全符合标准ISO 5-4,支持ISO 13655标准规定的MOM1,M2M3测试条件,可...
MORE+