CIEDE2000色差公式是在CIELab色差公式的基础上发展起来的一个色差公式,是目前色差仪中使用的最新的色差公式,在不同的行业有着广泛的应用。本文对CIEDE2000色差公式计算式及色差计算步骤做了解析,感兴趣的朋友不妨了解一下!

CIEDE2000色差公式是CIE的工业色差评价修正技术委员会对现有的色差公式及相关数据分析后,于2000年提出的新的色差公式,也是目前最近的一个色差公式。其计算如下式所示。

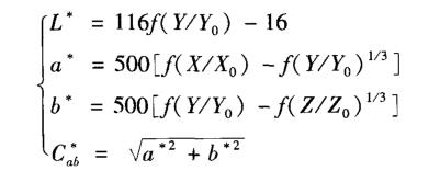
上式中,△L'、△C'ab为CIELAB颜色空间的亮度差、彩度差,AH'ab是改进后的色相差;KL、KC、KH为参数因子,可根据实际使用确定具体的矫正参数,在CIE标准观测条件下,取KL=KC=KH=1;SL、SC和SH分别为明度、彩度和色调的权重因子,计算公式如上式所示。CIED2000重新定义了CIELAB颜色空间的a轴,改善了对中性颜色的预测性能,并修改了明度和色调的权重系数SL和SH,很好的修正了椭圆不规则的问题。CIEDE2000只是重新定义了色差的计算方法,并不是建立了一个新的均匀色空间。对于一般的工业色差评估,可以直接用该公式进行计算,计算结果即可表示被知觉的色差。
第一步:计算CIELAB公式中的L*、a*、b*、C*ab。

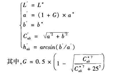
第二步:计算L'、a'、C’和h'。

G表示CIELAB颜色空间的轴的调整因子,a*是彩度的函数。C*ab是C*ab的算术平均值。
第三步:计算△L'、△C'ab、△H'ab。

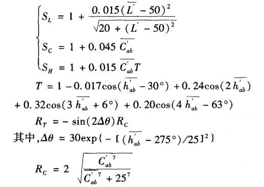
第四步:计算SL、SC、SH、和T。

其中,L为两个样品L'、L'2的算术平均值;C'ab为两个样品C'ab,1、C'ab,2的算术平均值;h'ab为两个样品h'ab,1、h'ab,2的算术平均值。
第五步:代入CIEDE2000色差公式计算,就可以得出色差值。
YS6060是3nh公司独立开发的完全拥有自主知识产权的国产台式光栅分光测色仪, TFT真彩7inch电容触摸屏、全光源、照明方式:反射D/8、透射D/0(包含UV/排除UV测量) 测量颜色准确稳定、存储...
MORE+
3nh光栅分光仪,颜色测量伴侣 YS3010、YS3020、YS3060是三恩时公司独立开发的完全拥有自主知识产权的国产光栅分光测色仪,仪器稳定、测量颜色准确、功能强大,在便携式光栅分光测色仪...
MORE+
光栅分光测色仪YS4580简介 YS4580高精度分光测色仪采用符合CIE No.15的45/0(45度环形照明,0度接收)几何光学结构,采用凹面光栅分光方式,可准确测量样品反射率及各种色度数据。仪器...
MORE+
光栅分光密度仪YD5050简介 YD5050是3nh公司独立开发的完全拥有自主知识产权的45/0几何光学结构的国产光栅分光密度仪,完全符合标准ISO 5-4,支持ISO 13655标准规定的MOM1,M2M3测试条件,可...
MORE+