CIELuv颜色空间是CIE规定的用于颜色测量的一个均匀颜色空间,也是目前色差仪中使用比较广泛的一个颜色空间,该颜色空间用三个分量来对颜色进行描述,并以两点之间的几何距离来进行色差计算。本文对色差仪CIELuv颜色空间含义及色差计算式做了介绍。

CIELuv颜色空间是CIE1976L*u*v*均匀颜色空间的简称,CIELuv颜色空间的设计目标是使颜色空间中的欧几里得距离更接近人眼感知的颜色差异,即实现视觉上的均匀性。这使得在CIELuv颜色空间中计算得到的色差与人眼的实际感受更为相符,对于颜色的准确测量、比较和质量控制具有重要意义。
CIELuv颜色空间由L(亮度)、u*(绿-红方向的色度坐标)、v*(蓝-黄方向的色度坐标)构成。L表示颜色的明亮程度,含义与CIELab和CIELCh中的L一致,反映了颜色的明暗程度,取值范围从0(绝对黑色)到100(绝对白色)。u表示绿-红方向的色度,是描述颜色在红绿蓝维度上位置的一个参数。u值的正负和大小反映了颜色在该维度上的偏向和程度。u为正值时,表示颜色在该维度上偏向红色或黄色方向的程度;u*为负值时,表示颜色偏向绿色或蓝色方向的程度。v*表示蓝-黄方向的色度,v值的变化反映了颜色在另一个维度上的偏向和程度,与u相互配合来完整地表达颜色的色度特性。v值为正时,颜色偏向黄色或蓝色方向;v*值为负时,颜色偏向红色或绿色方向。
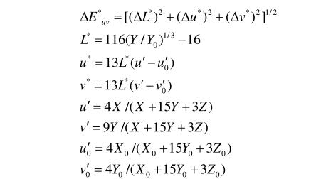
CIELuv色差公式是CE1976L*u*v*色差公式简称,CIELuv色差公式是由CEx-y色度图进行线性变换推导而得。线性变换的目的是改善与目测结果对比的均匀性。CIE1976L*u*v*色差公式为:

式中,X,Y,Z为色样的三刺激值;X0,Y0,Z0为CIE标准照明体的三刺激值,为常数值;X/X0,Y/Y0,Z/Z0,要求大于0.008856,对于不符合这一要求的极深的颜色,使用颜色修正公式。
u',v'分别为线性变换后的色样色度坐标,u'0,v'0分别为线性变换后的CE标准照明体的色度坐标;L*为明度;u',v'为彩度;△E*为总色差。
CEL*u*v*色度空间中,以u'、v'轴组成的平面表示颜色的彩度,L*轴表示颜色的明度,CEL*u*v*色差公式主要应用于光的加法混色,例如彩色电视和图象处理方面。
YS6060是3nh公司独立开发的完全拥有自主知识产权的国产台式光栅分光测色仪, TFT真彩7inch电容触摸屏、全光源、照明方式:反射D/8、透射D/0(包含UV/排除UV测量) 测量颜色准确稳定、存储...
MORE+
3nh光栅分光仪,颜色测量伴侣 YS3010、YS3020、YS3060是三恩时公司独立开发的完全拥有自主知识产权的国产光栅分光测色仪,仪器稳定、测量颜色准确、功能强大,在便携式光栅分光测色仪...
MORE+
光栅分光测色仪YS4580简介 YS4580高精度分光测色仪采用符合CIE No.15的45/0(45度环形照明,0度接收)几何光学结构,采用凹面光栅分光方式,可准确测量样品反射率及各种色度数据。仪器...
MORE+
光栅分光密度仪YD5050简介 YD5050是3nh公司独立开发的完全拥有自主知识产权的45/0几何光学结构的国产光栅分光密度仪,完全符合标准ISO 5-4,支持ISO 13655标准规定的MOM1,M2M3测试条件,可...
MORE+