纺织品的色差指的是两个染色织物样本在彩度、明度和色调三个色彩值的综合表现颜色感知差异,色差严重影响染色成品的质量。纺织色差仪是纺织色差量化的重要工具,可以通过色差公式计算色差△E值。目前,纺织色差仪常用色差公式是CIELAB色差公式和CMC色差公式,本文对它们做了介绍。

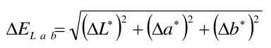
CIELAB色差公式自1976年由国际照明委员会CIE推荐以来,在纺织印染行业的产品质量控制中被广泛使用。该色差公式建立在CIE 1976-L*a*b*颜色空间上,CIELAB色差公式如下:

公式中,△L*、△a*、△b*分别表示被测样本1与标准样本2之间的明度差和色品差,则△L*=L1*-L2*,△a*=a1*-a2*,△b*=b1*-b2*。
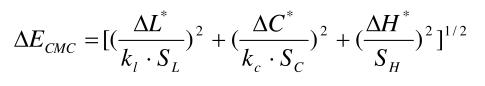
CMC(l:c)色差公式是研究者在对 JPC79公式进行修改的基础上提出的,它比CIELAB公式具有更好的视觉一致性,因而被英国染色家协会的颜色测量委员会所推荐,成为纺织工业的国际标准(ISO105-J03),被工业界广泛使用。其计算公式如下:

公式中的SL、SC、SH分别代表了亮度差△L*、饱和度差△C*和色相差△H*的加权系数;kl和kc分别是用来调整明度和彩度对总色差的影响程度的明度权重因子和彩度权重因子。通过大量实验表明,当评价色差是否可接受时,如纺织印染行业对产品质量的控制,推荐采用kl=2,kc=1,而对色差可察觉性评价时推荐采用kl=1,kc=1。
YS6060是3nh公司独立开发的完全拥有自主知识产权的国产台式光栅分光测色仪, TFT真彩7inch电容触摸屏、全光源、照明方式:反射D/8、透射D/0(包含UV/排除UV测量) 测量颜色准确稳定、存储...
MORE+
3nh光栅分光仪,颜色测量伴侣 YS3010、YS3020、YS3060是三恩时公司独立开发的完全拥有自主知识产权的国产光栅分光测色仪,仪器稳定、测量颜色准确、功能强大,在便携式光栅分光测色仪...
MORE+
光栅分光测色仪YS4580简介 YS4580高精度分光测色仪采用符合CIE No.15的45/0(45度环形照明,0度接收)几何光学结构,采用凹面光栅分光方式,可准确测量样品反射率及各种色度数据。仪器...
MORE+
光栅分光密度仪YD5050简介 YD5050是3nh公司独立开发的完全拥有自主知识产权的45/0几何光学结构的国产光栅分光密度仪,完全符合标准ISO 5-4,支持ISO 13655标准规定的MOM1,M2M3测试条件,可...
MORE+