CIELab均匀颜色空间是CIE规定的用于颜色测量的均匀颜色空间,该颜色空间用三个维度对颜色进行描述,且在对颜色之间的差异值进行描述时,与人眼之间的色觉感受具有良好的一致性。本文对CIELab均匀颜色空间及CIELab均匀颜色空间色差公式作了介绍。

CIELab颜色空间是CIE规定的均匀颜色空间,在该颜色空间中,颜色的明度感觉用坐标轴L*表示,黑位于最下端对应明度L*=0;白色最亮位于最上端,对应明度L*=100。a*轴与b*轴共同表示彩色的特性:a*轴正方向代表红色(偏品红)的变化,a*轴负方向代表绿色的变化;b*轴正方向代表黄色变化,b*轴负方向代表蓝色变化。a*与b*的值表示颜色感觉中的彩色成分,当a*与b*的值都为0时,颜色的饱和度为0,即非彩色,其坐标点落到坐标轴L*上。所以,所有的非彩色都位于坐标轴L*上,从下到上依次为黑、深灰、灰、浅灰和白。颜色的坐标点距坐标轴L*越远,则颜色就越鲜艳。根据这一性质可以用a*与b*的值进一步计算色调和饱和度,并使其与颜色的感觉更加接近。其颜色模型如下:

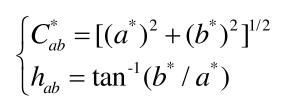
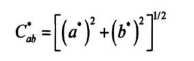
CIELab均匀颜色空间表示颜色的方式模拟了人眼对颜色的感觉,如上所示,颜色的明度感觉用纵坐标标轴L*表示。所以,所有的非彩色都位于纵坐标轴上,从下到上依次为黑、深灰、灰、浅灰和白。根据图中的几何关系,该颜色的色调H*可以用其在a*与b*平面的投影到纵坐标轴连线与a*坐标轴的转角h*ab表示;彩度(或饱和度)C*可以用该点到纵坐标轴的距离来表示。因此,可以得到:

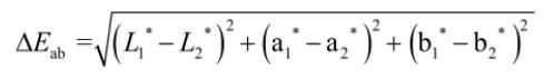
在与颜色感觉一致的均匀颜色空间内,两个颜色样品之间的色差表示为其坐标点之间的距离,即:

式中:L*1、a*1、b*1和L*2、a*2、b*2分别是2个样品的坐标值。总是色差可以分解为明度差、彩度差和色调差3个分量。明度差为:△L*=L*1-L*2。
根据上面的彩度公式,可以得到颜色的彩度差为:

计算出彩度差以后,就可以得到色调差公式:

另外一种使用△L*、△C*ab和△H*ab计算总色差的公式如下所示:

上面两个公式计算出的△E*ab是等价的。
YS6060是3nh公司独立开发的完全拥有自主知识产权的国产台式光栅分光测色仪, TFT真彩7inch电容触摸屏、全光源、照明方式:反射D/8、透射D/0(包含UV/排除UV测量) 测量颜色准确稳定、存储...
MORE+
3nh光栅分光仪,颜色测量伴侣 YS3010、YS3020、YS3060是三恩时公司独立开发的完全拥有自主知识产权的国产光栅分光测色仪,仪器稳定、测量颜色准确、功能强大,在便携式光栅分光测色仪...
MORE+
光栅分光测色仪YS4580简介 YS4580高精度分光测色仪采用符合CIE No.15的45/0(45度环形照明,0度接收)几何光学结构,采用凹面光栅分光方式,可准确测量样品反射率及各种色度数据。仪器...
MORE+
光栅分光密度仪YD5050简介 YD5050是3nh公司独立开发的完全拥有自主知识产权的45/0几何光学结构的国产光栅分光密度仪,完全符合标准ISO 5-4,支持ISO 13655标准规定的MOM1,M2M3测试条件,可...
MORE+