在颜色的测量过程中,为了将抽象的颜色信息进行数字量化,就会使用不同类型的颜色空间。目前,在颜色测量中,比较常用的颜色空间有RGB、XYZ、Lab等,这三个颜色空间表示颜色的方式是不同的。本文对颜色测量常用三个颜色空间RGB、XYZ、Lab做了介绍。

RGB颜色模型是最常见的颜色模型,源于视觉三色说,即自然界中存在的所有颜色都可以由红(R)、绿(G)、蓝(B)三种单色合成。其模型为:C(R)=R(R)+G(G)+B(B)。
RGB模型简单直观,但是此模型有如下缺点:RGB颜色空间用三原色表示颜色的方法较简单,人眼观察颜色不够直观,而且RGB空间不是均匀的颜色空间,不能用来反应颜色差异也就是不能用来计算色差,并且R.G、B分量之间存在高的相关性,因此,RGB模型不能有效地提供颜色方面的信息。
XYZ颜色空间是一个非常重要的颜色模型,它是在RGB系统的基础上推导出来的,采用坐标变换的方法用理想的三原色代替实际的三原色,其中X为理想的红原色,Y为理想的绿原色,Z为理想的蓝原色。从RGB模型到XYZ模型可以通过乘以一个3x3矩阵转换,其转换公式为:

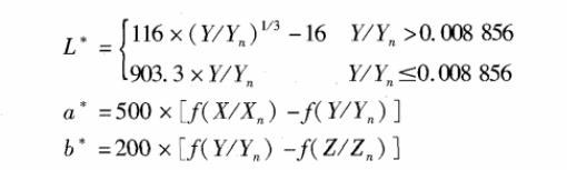
RGB模型和XYZ模型都不是均匀的颜色空间,也就是说,在不同的色度和亮度区域,人对于颜色的分辨力是不一致的。这样的空间对于利用色差做图像处理是不利的,且不利于颜色的分辨。寻求一种新的颜色空间,使该空间的距离大小与视觉上的色差感觉呈正比,这就是用均匀的L*a*b*模型。
L*a*b*模型是均匀颜色空间之一,符合人的视觉心理,因此,在颜色测量中运用极其广泛。L*a*b*模型可由XYZ模型转换得到,L*a*b*模型是把颜色按其所含红、绿、黄、蓝的程度来度量的。将红度(正向)和绿度(负向)同置于一根横轴(a*轴)上,而将黄度(正向)和蓝度(负向)同置于纵横轴(b*轴)上,垂直于b*平面的第三根轴为明度L,这就是L*a*b*模型。L*a*b*模型是直接从XYZ模型上发展起来的,它们之间的关系是非线性的,相应的转换公式如下:

YS6060是3nh公司独立开发的完全拥有自主知识产权的国产台式光栅分光测色仪, TFT真彩7inch电容触摸屏、全光源、照明方式:反射D/8、透射D/0(包含UV/排除UV测量) 测量颜色准确稳定、存储...
MORE+
3nh光栅分光仪,颜色测量伴侣 YS3010、YS3020、YS3060是三恩时公司独立开发的完全拥有自主知识产权的国产光栅分光测色仪,仪器稳定、测量颜色准确、功能强大,在便携式光栅分光测色仪...
MORE+
光栅分光测色仪YS4580简介 YS4580高精度分光测色仪采用符合CIE No.15的45/0(45度环形照明,0度接收)几何光学结构,采用凹面光栅分光方式,可准确测量样品反射率及各种色度数据。仪器...
MORE+
光栅分光密度仪YD5050简介 YD5050是3nh公司独立开发的完全拥有自主知识产权的45/0几何光学结构的国产光栅分光密度仪,完全符合标准ISO 5-4,支持ISO 13655标准规定的MOM1,M2M3测试条件,可...
MORE+