色差仪在测量颜色时,是通过测量样品颜色的三刺激值XYZ,然后通过特定的颜色模型如CIELab,将颜色信息转换为明度指数L*和色品指数a*、b*值及对比度色的色差。本文对CIEXYZ与CIELab颜色空间色度值的转换关系做了介绍。

CIEXYZ颜色空间也称CIE1931颜色空间。CIE希望通过该颜色空间下的三个分量(X,Y,Z)能够描述人颜色视觉系统所能察觉的任意一种颜色,其中X和Z定义为颜色的色度,Y为颜色的亮度。
CIEXYZ颜色空间主要应用于分光光度计和数字颜色分析器等分析仪器,它为这一类仪器提供了待分析样本所需的透射或折射的三色光信号。虽然 CIEXYZ颜色空间在分析化学中的相关应用也颇为广泛,但是它所表示的颜色与人眼感知不太一致,导致在不同颜色对比中存在一定缺陷。因此,该颜色模型往往只是用于线性转换到其他颜色空间的过渡颜色空间。

CIELab颜色空间是1976年国际照明委员会推荐的均匀颜色空间,1987年我国发布的GB7921-87将LAB空间作为国家标准,CIEL*a*b*常用于求表面色的色差。CIE1976L*a*b*空间可由CIEXYZ转换得到,它是把颜色按其所含红、绿、黄、蓝的程度来度量的。视网膜锥体细胞有三种不同响应的视觉神经,分别对红绿、黄蓝和黑白起作用,颜色感觉是由各个视觉神经的破坏和恢复而产生。每发生一次恢复和破坏,就发出一脉冲信号给大脑,于是得到一种色感。根据这一色觉说,将红度(正向)和绿度(负向)同置于一根横轴(a*轴)上,而将黄度(正向)和蓝度(负向)同置于纵横轴(b*轴)上,垂直于a*b*平面的第三根轴为明度L*,这就是L*a*b*表色空间。
CIELab颜色空间是颜色量化最均匀的颜色分布,在样品色差评比系统中,很多公式都是依赖该颜色空间的,它是颜色差异的规范化空间,能够解决颜色量化的等距度量,其均匀性较好。该颜色空间两点之间的几何距离,与人眼观察物体的色差大小相同。
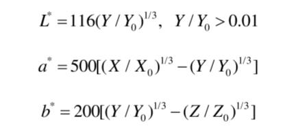
CIELab均匀颜色空间CIEXYZ颜色空间的非线性变换,它将XYZ直角坐标颜色空间转换为柱面极坐标,将三刺激值X、Y、Z 转换成与眼睛视觉有一致的明度L*和色度a*、b*,其中a*、b*与色调、饱和度的感觉相一致。它也是三维的均匀色空间,由Adams-Nickerson建立的ANLAB表色系改进而来,其心理明度指数L*为Munsell明度值的10倍。Y=Y0=100时,L*=100,公式如下所示:

X0、Y0、Z0是CIE标准照明体的三刺激值。不带0下标的是待测色的三刺激值。
YS6060是3nh公司独立开发的完全拥有自主知识产权的国产台式光栅分光测色仪, TFT真彩7inch电容触摸屏、全光源、照明方式:反射D/8、透射D/0(包含UV/排除UV测量) 测量颜色准确稳定、存储...
MORE+
3nh光栅分光仪,颜色测量伴侣 YS3010、YS3020、YS3060是三恩时公司独立开发的完全拥有自主知识产权的国产光栅分光测色仪,仪器稳定、测量颜色准确、功能强大,在便携式光栅分光测色仪...
MORE+
光栅分光测色仪YS4580简介 YS4580高精度分光测色仪采用符合CIE No.15的45/0(45度环形照明,0度接收)几何光学结构,采用凹面光栅分光方式,可准确测量样品反射率及各种色度数据。仪器...
MORE+
光栅分光密度仪YD5050简介 YD5050是3nh公司独立开发的完全拥有自主知识产权的45/0几何光学结构的国产光栅分光密度仪,完全符合标准ISO 5-4,支持ISO 13655标准规定的MOM1,M2M3测试条件,可...
MORE+