测色仪是颜色量化及色差测量中比较常见的仪器,这类仪器在进行色差测量时,会通过仪器内置的色差公式,通过比较色样和标样之间的颜色差异,给出颜色的差异值,也就是色差值。本文对测色仪CMC色差公式和CIEDE2000色差公式做了简要的介绍。

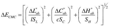
CMC色差公式是CMC(l:c)色差公式的简称,是在CIELab色差公式的基础上发展起来的一个色差公式,它通过引入调整参数1和c,分别给予△L*、△C*、△H*不同的修正系数,来改善CIELAB色差公式,其色差均匀度大为改。其表达式为:

式中:△L*代表亮度差、△C*代表饱和度差、△H*代表色相差,计算过程和CIELAB色差公式相同;SL、SC、SH分别表示修正系数;l和c表示调整明度和彩度的相对宽容系数。
使用此色差公式时,可根据具体情况来调整l值和c值。通过学者们的大量试验证明,在纺织业一般采用CMC(2:1)公式,在塑料、涂料等行业一般采用CMC(1:1)公式。
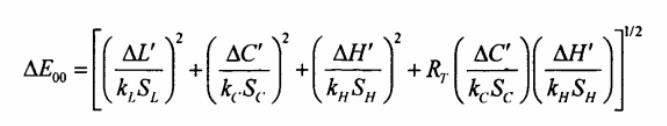
CIEDE2000色差公式是在2001年推出的一个色差公式,也是目前最新的色差公式。该公式校正了色相权重系数、明度权重系数和彩度权重系数,调整了彩度差和色相差的交互项、CIELAB的a*因子。具体计算方法如下式所示:

式中:KL、KC、KH是三个常量参数,根据测试对象的不同或者色彩品质控制的要求来定义,在纺织行业中,KL一般取2,KC和KH一般取1;SL、SC、SH分别表示明度、彩度和色相的权重系数,用来校正颜色空间的均匀性;RT表示旋转函数,用来校正颜色空间中蓝色区域容差椭圆主轴方向的偏转。
CIEDE2000只是重新定义了色差的计算方法,并不是建立了一个新的均匀色空间。对于一般的工业色差评估,可以直接用该公式进行计算,计算结果即可表示被知觉的色差。
YS6060是3nh公司独立开发的完全拥有自主知识产权的国产台式光栅分光测色仪, TFT真彩7inch电容触摸屏、全光源、照明方式:反射D/8、透射D/0(包含UV/排除UV测量) 测量颜色准确稳定、存储...
MORE+
3nh光栅分光仪,颜色测量伴侣 YS3010、YS3020、YS3060是三恩时公司独立开发的完全拥有自主知识产权的国产光栅分光测色仪,仪器稳定、测量颜色准确、功能强大,在便携式光栅分光测色仪...
MORE+
光栅分光测色仪YS4580简介 YS4580高精度分光测色仪采用符合CIE No.15的45/0(45度环形照明,0度接收)几何光学结构,采用凹面光栅分光方式,可准确测量样品反射率及各种色度数据。仪器...
MORE+
光栅分光密度仪YD5050简介 YD5050是3nh公司独立开发的完全拥有自主知识产权的45/0几何光学结构的国产光栅分光密度仪,完全符合标准ISO 5-4,支持ISO 13655标准规定的MOM1,M2M3测试条件,可...
MORE+