CIELab颜色空是色差仪最常用颜色空间,该颜色空间是一个均匀的颜色空间,可以用L*、a*、b*三个维度对颜色进行描述,也可以使用其极坐标L、C、H值对颜色进行描述,因此就存在不同形式的色差公式。那么,色差仪CIELab颜色空间色差公式有几种形式?本文对色差仪CIELab颜色空间色差公式的形式做了介绍。

CIELab颜色空间是CIE1976L*a*b*均匀色空间的简称,该颜色空间由明度L*和色品坐标a*、b*三个要素组成。L*表示明度,取值范围是[0,100],表示从纯黑到纯白;a*表示从洋红色至绿色的范围,取值范围是[-128,127];b*表示从黄色至蓝色的范围,取值范围是[-128,127]。在等明度的a*b*平面上,+a*为红色方向,值越大表示对应的颜色越红,-a*为绿色方向,值越小则颜色越绿;+b*为黄色方向,值越大则颜色越黄,-b*为蓝色方向,值越小颜色越蓝。
由CIECIELab均匀色空间可推导出与心理量近似对应的一组感知属性LCH,即明度L*,彩度C*及色调角h°。一种颜色可以用L*、a*和b*表示,同时也可以用L*、C*和h°表示。明度L*是指色彩明暗深浅的差异程度。彩度C*表示物体表面颜色的浓淡,指透射或反射光线接近光谱色的程度,彩度越高感觉越艳丽,彩度越低感觉越寡淡。色调角h°是表示颜色种类的度量,如红、橙、黄、绿、青、蓝、紫等。选用明度、彩度、色调角这三个参数来描述颜色较为直观,符合日常生活的使用习惯。
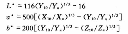
CIELab色差公式是ANLAB色差公式的简化模型。1976年被推荐替代ANLAB以提高在工业应用上的均匀性和简单性。L*a*b*公式以两种坐标形式(直角坐标和柱坐标)给出。
1.直角坐标表示形式

这里,X、Y和Z是色样的三刺激值,而X0、Y0和Z0是照明光源的三刺激值。
总的色差的计算公式为:

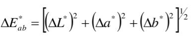
2.柱坐标表示形式

其中C*定义为米制彩度,h定义为米制色调角(0度~360度)。
柱坐标形式的色差为:

柱坐标形式的色差△E与直角坐标形式的色差△E相等。
YS6060是3nh公司独立开发的完全拥有自主知识产权的国产台式光栅分光测色仪, TFT真彩7inch电容触摸屏、全光源、照明方式:反射D/8、透射D/0(包含UV/排除UV测量) 测量颜色准确稳定、存储...
MORE+
3nh光栅分光仪,颜色测量伴侣 YS3010、YS3020、YS3060是三恩时公司独立开发的完全拥有自主知识产权的国产光栅分光测色仪,仪器稳定、测量颜色准确、功能强大,在便携式光栅分光测色仪...
MORE+
光栅分光测色仪YS4580简介 YS4580高精度分光测色仪采用符合CIE No.15的45/0(45度环形照明,0度接收)几何光学结构,采用凹面光栅分光方式,可准确测量样品反射率及各种色度数据。仪器...
MORE+
光栅分光密度仪YD5050简介 YD5050是3nh公司独立开发的完全拥有自主知识产权的45/0几何光学结构的国产光栅分光密度仪,完全符合标准ISO 5-4,支持ISO 13655标准规定的MOM1,M2M3测试条件,可...
MORE+