对于色差仪等颜色测量仪器而言,需要先测定样品颜色的三刺激值XYZ,然后通过微机系统将颜色三刺激值转换为特定颜色空间下的颜色数值。那么,颜色标定为什么用XYZ值?XYZ值怎么计算?本文对此做了简要的分析,对颜色三刺激值感兴趣的朋友可以了解一下!

人眼对物体颜色的感知是外界物体表面光学辐射刺激的结果。因此物体的颜色由外界光学辐射刺激和人眼共同决定。为标定颜色,CIE规定了1931CIE-RGB系统,同时为了评测颜色信息,CIE根据大量的人眼对颜色观察的统计数据规定了一套色度标准光谱三刺激值r,g,b表示人眼的视觉特性,该方法可作为一种颜色的计算方法,标定颜色,但厂值存在负值情况,计算极其不方便,数据不够直观。
为解决r,g,b系统存在的问题,CIE规定了1931CIE-XYZ系统,选用了三个设想的值X,Y,Z标定颜色,三刺激值X,Y,Z有效的解决了1931CIE-RGB系统存在的缺点,其不存在负数,方便计算。目前,颜色的标定普遍使用X,Y,Z进行色度计算。
对一个特定的颜色来说,如果X、Y、Z三个刺激值都比较大,则表明该颜色比较明亮;反之,X、Y、Z都比较小,则表示该颜色较暗。例如,某一浅灰的三刺激值为X=61,Y=63,Z=66,某一深灰色的三刺激值为X=14,Y=15,Z=17。在三个刺激值中,若X值相对较大,则颜色偏红;Y值相对较大,则颜色偏绿;Z值相对较大,则颜色偏蓝。又如某一红色的三刺激值为X=28,Y=17,Z=18;某一绿色的三刺激值为X=18,Y=28,Z=18。反过来看,如果已知某一颜色的三刺激值为X=14,Y=17,Z=42,则该颜色一定呈蓝色调。
三刺激值数值越接近,则颜色的饱和度越低。例如某一帶有蓝色光的灰色,其三刺激值为X=15,Y=16,Z=19,虽然Z值相对较大,但三个刺激值较接近,饱和度低,所以看上去是灰色,但有微量的蓝色光。而某一较饱和的蓝色三刺激值为X=14,Y=17,Z=42,2值明显相对较大,表明该蓝色比较饱和、鲜艳。从色调、明度、饱和度综合起来举例,某一颜色的三刺激值为X=58,Y=52,Z=50,三刺激值都较大,即明度较高,是一个浅颜色,X值相对较大,但与其它两个刺激值相比,差值不是很大,所以这是一个颜色饱和度较低的浅红色即粉红色。另一颜色的三刺激值为X=8,Y=11,Z=8,三个刺激值都较小,即明度较低,是一个深颜色,Y值相对较大,但与其它刺激值的差值也不大,则可以断定,这是一个不鲜艳的深绿色。
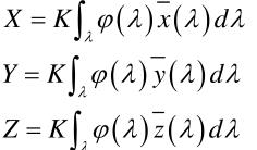
三刺激值的计算公式如下所示,其中x(λ),y(λ),z(λ)为光谱三刺激值,刺激函数为φ(λ):

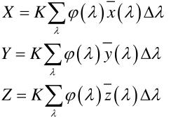
实际计算中,以求和近似代替积分计算:

式中,波长间隔△λ为5nm或10nm,φ(λ)为刺激函数,对于物体色,刺激函数φ(λ)是标准照明体A的相对光谱功率分布S(λ)与物体的光谱反射率ρ(λ)、透过率τ(λ)、或辐亮度因数β(λ)的乘积,具体计算式可参考相关文献资料。K为调整因素。
YS6060是3nh公司独立开发的完全拥有自主知识产权的国产台式光栅分光测色仪, TFT真彩7inch电容触摸屏、全光源、照明方式:反射D/8、透射D/0(包含UV/排除UV测量) 测量颜色准确稳定、存储...
MORE+
3nh光栅分光仪,颜色测量伴侣 YS3010、YS3020、YS3060是三恩时公司独立开发的完全拥有自主知识产权的国产光栅分光测色仪,仪器稳定、测量颜色准确、功能强大,在便携式光栅分光测色仪...
MORE+
光栅分光测色仪YS4580简介 YS4580高精度分光测色仪采用符合CIE No.15的45/0(45度环形照明,0度接收)几何光学结构,采用凹面光栅分光方式,可准确测量样品反射率及各种色度数据。仪器...
MORE+
光栅分光密度仪YD5050简介 YD5050是3nh公司独立开发的完全拥有自主知识产权的45/0几何光学结构的国产光栅分光密度仪,完全符合标准ISO 5-4,支持ISO 13655标准规定的MOM1,M2M3测试条件,可...
MORE+