色差仪在CIELab颜色空间下进行色度分析时,不仅可以给出相应的L、a、b值,还可以给出其极坐标的L、c、h值。对于色差仪给出的L、a、b值和L、c、h值含义许多初始用户不是很了解,本对做了简要的介绍,以便为大家提供帮助。

色差仪L、a、b值是基于CIELab颜色空间,在该颜色空间中,颜色可以从L、a、b三个维度进行描述,其具体含义如下:
L:表示颜色的明暗程度。较大的L值表明颜色较亮,较小的L值表明颜色较暗。L值在0到100的范围内,数值越大表示颜色越明亮。
a:a值表示颜色在红绿色轴上的位置。正数表示偏向红色,负数表示偏向绿色。绝对值越大,表示颜色与红绿色轴的距离越大,颜色越鲜艳。
b:表示颜色在黄蓝色轴上的位置。正数表示偏向黄色,负数表示偏向蓝色。绝对值越大,表示颜色与黄蓝色轴的距离越大,颜色越鲜艳。
△L:明度差,△L*>0表示样品色比标准色浅,明度高;若△L*<0,说明样品色比标准色深,明度低。
△a:色度差,△a*>0表示样品色比标准色偏红;若△a*<0,说明样品色比标准色偏绿。
△b:色度差,△b*>0表示样品色比标准色偏黄;若△b*<0,说明样品色比标准色偏蓝。
色差仪L、c、h值是基于CIELch颜色空间,在该颜色空间中,颜色可以从L、c、h三个维度进行描述,其具体含义如下:
L:L:表示颜色的明暗程度。较大的L值表明颜色较亮,较小的L值表明颜色较暗。L值在0到100的范围内,数值越大表示颜色越明亮。
c:表示色度,即颜色的鲜艳程度或饱和度。c值越大,颜色越鲜艳、浓烈,越接近纯色;C值越小,颜色越接近灰色,饱和度越低。
h:用于表示颜色的色调。以角度来度量,不同的角度对应不同的色调。通常规定0°(或360°)表示红色,90°表示黄色,180°表示绿色,270°表示蓝色等。在颜色分类和描述中,h值是确定颜色基本色调的关键指标。
△L:明度差,△L*>0表示样品色比标准色浅,明度高;若△L*<0,说明样品色比标准色深,明度低。
△c:彩度差,△c>0表示样品色比标准色彩度高;若△c*<0,说明样品色比标准色彩度低。
△h:色相角差,△h>0表示样品色位于标准色的逆时针方向上;△h<0,说明样品色位于标准色的顺时针方向上。根据标准色所处的位置,就可以判断样品色是偏绿还是偏黄。
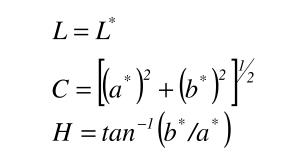
色差仪中的L、a、b值和L、c、h值都是用于描述颜色的参数,它们之间存在一定的转换关系。在CIELab和CIELch颜色空间中,L值的含义是相同的。c值代表彩度,即颜色的饱和度或纯度,其计算公式为c=(a2+b2)1/2。a值和b值分别表示颜色在红/绿轴和黄/蓝轴上的色度值,a、b值的绝对值越大,c值越大,颜色越鲜艳;当a、b值都为0时,c值为0,颜色为灰色。h值代表色调角,用于表示颜色的具体色相,可通过公式h=arctan(b/a)计算(需注意处理象限转换)。规定从正a轴(红色)开始为0°,逆时针为正,正b轴(黄色)为90°,负a轴(绿色)为180°,负b轴(蓝色)为270°。例如,若a>0,b≥0,则0°≤h<90°,颜色位于第一象限,偏向红色和黄色之间;若a≤0,b>0,则90°≤h<180°,颜色位于第二象限,偏向黄色和绿色之间。它们之间的转换关系式如下:

YS6060是3nh公司独立开发的完全拥有自主知识产权的国产台式光栅分光测色仪, TFT真彩7inch电容触摸屏、全光源、照明方式:反射D/8、透射D/0(包含UV/排除UV测量) 测量颜色准确稳定、存储...
MORE+
3nh光栅分光仪,颜色测量伴侣 YS3010、YS3020、YS3060是三恩时公司独立开发的完全拥有自主知识产权的国产光栅分光测色仪,仪器稳定、测量颜色准确、功能强大,在便携式光栅分光测色仪...
MORE+
光栅分光测色仪YS4580简介 YS4580高精度分光测色仪采用符合CIE No.15的45/0(45度环形照明,0度接收)几何光学结构,采用凹面光栅分光方式,可准确测量样品反射率及各种色度数据。仪器...
MORE+
光栅分光密度仪YD5050简介 YD5050是3nh公司独立开发的完全拥有自主知识产权的45/0几何光学结构的国产光栅分光密度仪,完全符合标准ISO 5-4,支持ISO 13655标准规定的MOM1,M2M3测试条件,可...
MORE+