Hunter Lab和CIELab颜色空间是色差仪等颜色测量仪器中常用的测色空间,这两个颜色空间在表示颜色时,具有相同的字母符号L、a、b。那么,Hunter Lab和CIELab颜色空间有什么不同?本文对Hunter Lab和CIELab颜色空间差别做了介绍。

Lab指的是Hunter Lab,它是建立在颜色对立理论基础上的三维直角坐标系,是不带星号的。CIEL*a*b*(CIELAB)是惯常用来描述人眼可见的所有颜色的最完备的色彩模型。L、a和b后面的星号(*)是全名的一部分,因为它们表示L*、a*和b*,不同于L、a和b。这2种表色系统都是建立在颜色对立理论基础上的,应用都比较广泛,区分这两种表色系统还是很有必要的。
Hunter Lab和CIELab颜色体系的计算公式不同,虽然都是由X、Y、Z经数学计算而来,但是色度量的取值不同。另外,这两个色度空间与视觉感官的均匀性都存在差异。比如虽然CIELAB色空间是CIE推荐的均匀颜色空间,而实际上CIELAB空间对于人眼的色彩感觉来说也还是不均匀的。在该空间的某个区域(如红色区域)取两个色样点与另一区域(如绿色区域)同等距离的2个色样点作比较,会发现在红色区域的两个色样的视感觉差别和绿色区域的两个色样的视感觉差别不一样,即在不同颜色区域,色彩的宽容量数值是不相等的。
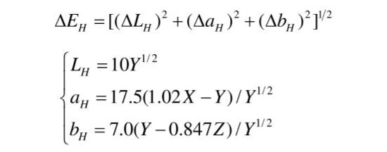
Hunter Lab系统分别以L、a、b 表示物体反射光的三个量,其中L表示反射光的明度,a表示反射光中红色与绿色的成分,b表示反射光中黄色与蓝色的成分。该系统的L,a,b值的表示及其色差公式为:

式中 X,Y,Z 为样品的三刺激值。
Hunter Lab系统常用于陶瓷工业、塑料工业和纺织工业。
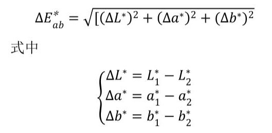
CIELAB色差公式是基于近似均匀的三维颜色空间CIELab颜色空间建立的,由直角坐标L*、a*、b*构成,国际照明委员会推荐使用。该色差公式建立在CIELAB颜色空间之上,在L*a*b*公式中,L*表示明度,a*表示红色和绿色的成分,b*表示黄色和蓝色的成分。色差是指用数值的方式表示两种颜色给人色彩感觉上的差别,若两个颜色都是按照L*a*b*标定的,则两个颜色之间的色差可以用欧式距离来计算:

YS6060是3nh公司独立开发的完全拥有自主知识产权的国产台式光栅分光测色仪, TFT真彩7inch电容触摸屏、全光源、照明方式:反射D/8、透射D/0(包含UV/排除UV测量) 测量颜色准确稳定、存储...
MORE+
3nh光栅分光仪,颜色测量伴侣 YS3010、YS3020、YS3060是三恩时公司独立开发的完全拥有自主知识产权的国产光栅分光测色仪,仪器稳定、测量颜色准确、功能强大,在便携式光栅分光测色仪...
MORE+
光栅分光测色仪YS4580简介 YS4580高精度分光测色仪采用符合CIE No.15的45/0(45度环形照明,0度接收)几何光学结构,采用凹面光栅分光方式,可准确测量样品反射率及各种色度数据。仪器...
MORE+
光栅分光密度仪YD5050简介 YD5050是3nh公司独立开发的完全拥有自主知识产权的45/0几何光学结构的国产光栅分光密度仪,完全符合标准ISO 5-4,支持ISO 13655标准规定的MOM1,M2M3测试条件,可...
MORE+