色差仪是颜色量化中常用的测色仪器,该仪器内置多种类型的颜色空间,其中就包括均匀颜色空间。那么,色差仪常用的两个均匀颜色空间是哪两个?本文对色差仪常用的两个均匀颜色空间做了介绍。

所谓均匀颜色空间是指一个三维空间,其中一个点表示一种颜色,任意两点之间的距离(即两种颜色之间的差别)与这两种颜色的视觉差别成正比。为解决色差测定和评估的问题,因此须建立均匀颜色空间。
人在辨别颜色时的视觉差别受许多方面因素的影响,其中主要为颜色本身的明度、色调和饱和度,因此在分辨颜色时,视觉差应是明度、色调、饱和度三方面差别的综合结果。色调、饱利和度方面的差别都是色品的差别,因此,推导均匀颜色空间的一般方法是选择一个均匀明度标尺和均匀色品标尺,并且使得单位色品色差近似等于单位明度色差。
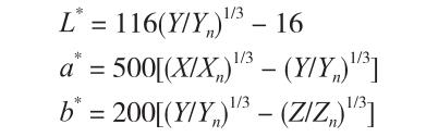
1.CIELab颜色空间
CIE1976L*a*b*均匀颜色空间,即CIELab颜色空间,它的三维坐标L*,a*,b*的表示分别为:

上述式中,X,Y,Z为颜色样品的三刺激值;Xn,Yn,Zn为指定的白色刺激的三刺激值,大多数情况下为CIE标准照明体照射在完全漫反射体上,再经过完全漫反射面反射至观察者眼中的白色刺激的三刺激值,其中Yn=100。
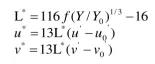
2.CIELUV均匀颜色空间
CIE1976L*u*v*(简称为CIELUV)均匀颜色空间用三维坐标系统明度指数L*和色品指数u*、v*来表示颜色,改善了CIELAB颜色空间的均匀性,定义公式如下:

其中,u',v'为颜色样品的色品坐标;u0,v0为指定的白色刺激的色品坐标。
CIBL*u*v*和CIEL*a*b*颜色空间是为了解决颜色的等距度量而建立的,具有均匀明度标尺和均匀色品标尺,其独立性和均匀性显然优于XYZ空间。但是,由于均匀色品标尺没有把色调和饱和度分离开,所以只有一个亮度分量能用于处理,而不能利用彩色图像的色彩信息,这会把彩色图像处理限制在灰度图像处理的范围,极大地束缚了彩色图像处理的手脚,也不是应选的最佳颜色空间。相对来讲,目前推荐的最好用的量化分析颜色的均匀空间。除了继承XYZ颜色空间的优点外,还有两个新的优点:①是颜色差异的规范化空间;②CIEL*u*v*和CIEL*a*b*颜色可以由圆柱坐标表示,因此可以适应不同的需要。由于具有这些优点使这种颜色空间在对颜色有严格要求的应用场合更加实用。
YS6060是3nh公司独立开发的完全拥有自主知识产权的国产台式光栅分光测色仪, TFT真彩7inch电容触摸屏、全光源、照明方式:反射D/8、透射D/0(包含UV/排除UV测量) 测量颜色准确稳定、存储...
MORE+
3nh光栅分光仪,颜色测量伴侣 YS3010、YS3020、YS3060是三恩时公司独立开发的完全拥有自主知识产权的国产光栅分光测色仪,仪器稳定、测量颜色准确、功能强大,在便携式光栅分光测色仪...
MORE+
光栅分光测色仪YS4580简介 YS4580高精度分光测色仪采用符合CIE No.15的45/0(45度环形照明,0度接收)几何光学结构,采用凹面光栅分光方式,可准确测量样品反射率及各种色度数据。仪器...
MORE+
光栅分光密度仪YD5050简介 YD5050是3nh公司独立开发的完全拥有自主知识产权的45/0几何光学结构的国产光栅分光密度仪,完全符合标准ISO 5-4,支持ISO 13655标准规定的MOM1,M2M3测试条件,可...
MORE+